NGUYÊN LÝ LÀM VIỆC CỦA MÁY BƠM LI TÂM.
Nguyên lý làm việc của bơm li tâm.
Khi động cơ quay truyền mô men quay làm quay BXCT của máy bơm, cánh bơm truyền năng lượng cho chất lỏng đẩy chất lỏng dịch chuyển. Vậy ta hãy lấy một mẫu điểm chất lỏng M để nghiên cứu , xem Hình 3 - 1:
Chất điểm M được xét ở cách tâm quay một đoạn r, vậy mẫu M có kích thước là b.dr.rdφ và khối lượng dm = ρ.b.rdφ.dr. Khi BXCT quay với tốc độ góc ω sẽ sinh lực li tâm dF = dm.ω2r. Chia dF cho diện tích b.rdφ ta được lực li tâm đơn vị = ρ.ω2. r.dr. Vậy áp suất chênh lệch giữa cửa ra và cửa vào BXCT sẽ là:
Từ công thức ( 3 - 1 ) ta rút ra nhận xét:
- Chênh lệch áp lực giữa cửa ra và cửa vào ΔP tỷ lệ thuận với bình phương tốc độ góc và đường kính cửa ra D2, tỷ lệ nghịch với đường kính cửa vào D1 của BXCT. Do vậy, tăng vòng quay của bơm ( n ) hoặc tăng đường kính cửa ra, giảm đường kính cửa vào sẽ tăng được áp lực chất lỏng cần bơm;
- Do ngoại vi BXCT không bị bịt kín nên áp lực ở ngoại vi nhỏ hơn áp lực cửa ra P2 do vậy nước sẽ văng ra khỏi BXCT để vào ống đẩy. Đó cũng chính là nguyên lí làm việc của bơm li tâm là nhờ tạo ra lực li tâm khi BXCT quay để bơm nước.
- Ngoài những nhận xét trên ta còn nhận thấy: ΔP còn phụ thuộc vào khối lượng riêng ρ của lưu chất. Ở điều kiện chuẩn, khối lượng riêng của không khí chỉ bằng khối lượng riêng của nước, vì vậy để bơm được nước thì trước khi chạy máy bơm cần phải đổ đầy nước trong buồng công tác của máy bơm ( mồi nước ).
Thành lập phương trình cơ bản của máy bơm li tâm
Quan sát sự chuyển động của chất lỏng trong BXCT ta thấy chất lỏng vào cửa vào theo hướng song song với trục bơm và đi ra theo hướng thắng góc với trục
Chất lỏng trong BXCT chuyển động theo không gian phức tạp: vừa quay theo BXCT với vận tốc theo vừa chuyển động tương đối theo khe cánh với vận tốc tương đối .
Tổng hợp hai thành phần vận tốc này lại chúng ta có vận tốc tuyệt đối = , biểu diễn chúng thành một tam giác khép kín gọi là " tam giác tốc độ ". Ở cửa vào ta ký hiệu các thành phần với chỉ số 1, ở cửa ra kí hiệu chỉ số 2.
Các thành phần vận tốc hướng kính : C1r = C1sin α1 và C2r = C2sinα2;
Các hình chiếu vận tốc lên vận tốc theo: C1u = C1cosα1 và C2u = C2cosα2.
Việc thành lập phương trình cơ bản của máy bơm li tâm với chuyển động không gian phức tạp của dòng chảy là rất khó thực hiện, do vậy viện sỹ Nga Euler đã đưa ra một số giả thiết sau đây cho dễ thiết lập:
- Coi dòng chảy trong khe cánh quạt là tập hợp nhiều dòng nguyên tố hợp thành. Từ đó suy ra: quỹ đạo của chất điểm dòng chảy sẽ song song tuyệt đối với hình cong cánh quạt, tốc độ tương đối của chất điểm dòng chảy sẽ tiếp tuyến với cánh quạt và có cùng giá trị khi chúng cùng nằm trên một vòng tròn đồng tâm, dòng chảy sẽ là dòng đối xứng qua trục bơm.
Để phù hợp với giả thiết này ta tưởng tượng BXCT phải có số lượng cánh quạt là vô cùng ( Z = 8 ), cánh quạt vô cùng mỏng và khe cánh rất hẹp và dài.
- Chất lỏng qua cánh quạt mà ta nghiên cứu là chất lỏng lý tường. Nghĩa là chất lỏng không nhớt nên không có ứng suất tiếp sinh ra giữa các lớp chất lỏng và như vậy sẽ không có tổn thất ma sát thủy lực
- Chất lỏng chảy ổn định. Giả thiết này có thể tìm được sau khi khởi động bơm một thời gian trong trường hợp môi trường bên ngoài không đổi.
Với giả thiết của Euler ta tiến hành thành lập phương trình cơ bản cho máy bơm giả tưởng có số cánh vô hạn, cánh có bề dày vô cùng mỏng, bơm chất lỏng lý tưởng. Để rút ra phương trình ta áp dụng định luật về sự thay đổi mô men động lượng. Trong trường hợp này có thể phát biểu là: Độ biến thiên mô men động lượng ΔL của chuyển động chất lỏng trong một đơn vị thời gian dọc theo trục quay của BXCT bằng mô men ngoại lực, nghĩa là bằng mô men xoắn ΔM của cánh tác dụng lên chất lỏng: ΔL = L2 - L1 = ΔM.
Xét một khối chất lỏng có khối lượng riêng ρ chuyển động từ cửa vào 1 đến cửa ra 2 với lưu lượng ΔQ ( xem Hình 3 - 2 ) ta có:
Mô men động lượng ở cửa vào 1 là: L1 = ρ.ΔQ.C1. l1= ρΔQC1r1cosα1 = ρΔQC1ur1
Mô men động lượng ở cửa ra 2 là : L2 = ρ.ΔQ.C2 .l2= ρΔQC2r2cosα2 = ρΔQC2ur2
Vậy độ độ biến thiên mô men động lượng tương ứng sẽ là:
ΔL = L2 - L1 = ρΔQ( C2ur2 - C1ur1 ) và = ΔM.
Mở rộng cho toàn BXCT ta có: ΣΔL = ρQ( C2ur2 - C1ur1 ) = ΣΔM = M.
Nhân hai vế của công thức trên với cùng tốc độ góc ω, ta có:
ρQ( C2ur2ω - C1ur1ω) = M ( * )
Vì r.ω = U và vì công suất N = Mω và = ρgQH8l , trong đó ký hiệu H8l biểu thị cột nước của bơm có số cánh vô hạn, chất lỏng lý tưởng, cho nên công thức ( * ) sẽ là:
ρQ( C2uU2 - C1uU1) = ρgQ H8l ( ** )
Chuyển vế và giản ước ( ** ) ta rút ra được phương trình cơ bản ( phương trình Euler) như sau:
H8l = ( U2C2u - U1 C1u ) ( 3 - 1 )
Nhận xét phương trình cơ bản Euler ( 3 -1 )
- Phương trình Euler không có mặt trọng lượng riêng nghĩa là không phụ thuộc vào một lưu chất cụ thể nào, vậy nó dùng chung cho nước và mọi lưu chất khác như xăng, dầu, không khí ..v.v...
- Khi lập phương trình ta chỉ xét hai điểm cửa vào và cửa ra mà không xét đến hình dạng cánh, do vậy phương trình ( 3 - ) dùng được chung cho mọi loại bơm cánh quạt.
- Để tăng cột nước của bơm H8l thì có thể có những biện pháp như: tăng U2 ( hay cũng chính là tăng ω hay vòng quay n hoặc D2 của bơm ), tăng C2u nhưng tăng C2u cũng có nghĩa là giảm góc α2, trường hợp α2 = 0 thì Q = ΠD2b2C2r = ΠD2b2C2sinα2 = 0 là không được. Do vậy trong chế tạo thường lấy α2 = 8 ... 150 là tốt nhất.
- Thiết kế cửa vào khe cánh BXCT không xảy ra dòng chuyển động xoay nghĩa là thành phần C1u = C1sinα1 = 0 để nâng cao cột nước, do vậy người ta chế tạo bơm li tâm có góc α1 = 90 0. Trường hợp này phương trình ( 3 - 1 ) sẽ là:
H8l = ( U2C2u ) ( 3 - 2 )
Phương trình ( 3 - 1 ) áp dụng cho bơm thực tế
Phương trình Euler ( 3 - 1 ) được thành lập trên cơ sở những giả thiết đã nêu là cơ sở để áp dụng vào chế tạo máy bơm thực tế. Hiện nay các máy bơm li tâm có số cánh từ 6 ... 12, khe cánh ngắn, cánh có độ dày nhất định mới chịu được lực ... do vậy dòng chảy không thể bám sát vào cánh vì vậy có xoáy nước hướng trục phát sinh. Người ta đã có nhiều nghiên cứu so sánh kết quả giữa lý thuyết và thực nghiệm.
ránh BXCT có cánh quạt hữu hạn.
I,II- chuyển động tịnh tiến và chuyển động quay; III- biểu đồ phân bố vận tốc tương đối W và áp suất tĩnh p cm trong mặt cắt ngang ở các rãnh giữa các cánh BXCT.
Mỗi cánh của BXCT bơm li tâm đều "áp" vào chất lỏng làm cho chất lỏng chảy vòng. Bởi vậy áp lực tĩnh ở mặt trước sẽ lớn hơn ở mặt sau. Trên cơ sở của phương trình Bernulli đối với chuyển động tương đối thấy rằng dọc mặt trước cánh, chất lỏng chuyển động với vận tốc tương đối sẽ nhỏ hơn mặt sau của cánh. Chuyển động tuyệt đối của rãnh giữa các cánh, nhìn bình đồ là chuyển động quay với tốc độ góc bằng tốc độ góc của BXCT, đồng thời do có lực quán tính sinh ra chuyển động tịnh tiến của chất lỏng chống lại chuyển động quay này.Tổng hợp hai dạng chuyển đông trên chúng ta nhận được biểu đồ gần đúng của vận tốc tương đối W. Chuyển động quay tương đối của chất lỏng trong rãnh có khác tốc độ tương đối trung bình: ở cửa ra: W2 quay ngược với chiều quay cửa BXCT, còn ở cửa vào lại quay cùng chiều với BXCT ( xem II, Hình 3 - 2 ).
Hiện tượng thủy động xẩy ra trong BXCT rất phức tạp và chưa có lời giải thỏa đáng cuối cùng. Bởi vậy chưa thể thành lập được phương trình đúng về sự phụ thuộc của cột nước vào số lượng cánh. Người ta vẫn phải sử dùng phương trình Euler với số cánh vô hạn nhưng đưa thêm vào hệ số hiệu chỉnh K có kể đến thực tế là số cánh Z hữu hạn. Trong thực tế thường dùng công thức của K. Pờplâyder sau đây để tính cột nước lý tưởng Hl số cánh hữu hạn:
Hl = K H8l ( 3 - 3 )
Trong đó hệ số hiệu chỉnh K được xác định như sau:
K = ( 3 - 4 )
Hệ số K cũng có thể lấy gần đúng theo tài liệu sau đây, tùy thuộc vào tỷ tốc ns:
| ns ( v/ph ) | 40 | 50 | 75 | 100 | 125 | 150 | 175 | 200 | 250 |
| K | 0,78 | 0,8 | 0,81 | 0,82 | 0,805 | 0,77 | 0,715 | 0,675 | 0,55 |
Ảnh hưởng của góc β2 đối với việc chọn hình dạng cánh quạt
Ý nghĩa vật lý của phương trình cơ bản
Để tìm hiểu vấn đề này ta biến đổi phương trình theo các đơn giản sau:
Từ tam giác tốc độ
ta viết các công thức lượng gíác về thành phần vận tốc cho cửa vào và cửa ra BXCT sau:
cos và rút ra
cos và rút ra , sau đó thay các giá trị này vào phương trình cơ bản ta có dạng mới của nó:
Ta xem xét ý nghĩa của các thành phần vận tốc trong công thức
- Từ dạng chung của phương trình Bernulli viết cho dòng nguyên tố bất kỳ của chuyển động ta có: = hằng số, trong đó thành phần thứ nhất là tĩnh năng ( ký hiệu là Ht ), còn thành phần thứ hai là động năng ( ký hiệu là Hđ ). Từ đây suy ra :
Áp lực toàn phần của một dơn vị chất lỏng trước khi vào BXCT là ;
Tương tự,
áp lực toàn phần sau khi ra khỏi BXCT là . Vậy cột nước toàn phần do cánh quạt của bơm li tâm tạo ra là:
Vậy thành phần thứ nhất của phương trình ( 3 - 5 ) là áp lực động hay cột nước động còn ( Ht2 - Ht1 ) là áp lực tĩnh hay cột nước tĩnh.
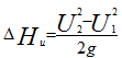
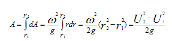
- Giả sử bịt cửa ra của BXCT, vậy khi bánh xe công tác quay với vận tốc U ( m/s ) sẽ sinh ra lực li tâm T = . Trong đó khối lượng đơn vị và lực li tâm trên sẽ bằng . Khi lực li tâm T dịch chuyển theo hướng bán kinh một đoạn dr sẽ sinh ra một công tương ứng dA = Tdr. Vậy công A sinh ra khi chuyển từ của vào đến cửa ra là:
Vậy thành phần thứ hai của phương trình :

- Cũng áp dụng phương trình Bernulli cho năng lượng toàn phần của một đợi vị trọng lượng chất lỏng lí tưởng: năng lượng ở cửa vào 


Vậy thành phần thứ ba của phương trình : biểu thị động năng giảm dần từ cửa vào đến cửa ra BXCT để tĩnh năng tăng dần từ cửa vào đến cửa ra và tại cửa ra nó biến thành áp năng để đẩy chất lỏng.
Khảo sát ba thành phần trên ta thấy: Cột nước
gồm có một thành phần động năng 
Chọn hình dạng cánh quạt ( chọn góc β2 )
Có ba dạng cánh quạt trong máy bơm: Cánh uốn cong về phía sau, ngược với chiều quay (β2 < 900 ); Cánh uốn cong về phía sau nhưng nơi cửa ra có hướng trùng với li tâm
a) khi β2 < 900; b) khi β2 = 900; c) khi β2 > 900
(β2 = 900 ); Cánh uốn cong về phía trước (β2 > 900 ). Dạng cánh có ảnh hưởng rất lớn đối với khả năng sản sinh cột nước của máy bơm bởi vì mỗi dạng cánh có quan hệ rõ nét đến tỷ lệ giữa các thành phần cột nước động hoặc tĩnh của bơm. Ta tìm hiểu tỷ lệ đó để tìm ra dạng cánh có khả năng giảm cột nước động và tăng cột nước tĩnh nhẵm nâng cao cột nước của bơm.
Trong chế tạo máy bơm, người ta chọn góc ở cửa vào α1 = 900 để thành phần hình chiếu vận tốc C1u = C1cosα1 = 0, như vậy thành phần hường li tâm C1r = C1sinα1 = C1 và ở cửa ra cố gắng giữa cho C2r = C1 để giảm tổn thất. Điều kiện này dẫn đến phương trình ( 3 - 2 ) đã trình bày ở trước, cụ thể :
( 3 - 9 )
Trong ba dạng cánh trên, dạng nào cho ta thành phần Ht chím phần lớn còn Hđ ít nhất thì dạng cánh đó được chọn. Cần biến đổi công thức tính Hđ với C2r = C1 ta có :
Hđ = = ( 3 - 10 )
- Khi β2 > 900, nhìn vào Hình 3 - 4, c ta thấy C2u > U2 do vậy thay vào ( 3- 10 )
ta có Hđ = , nghĩa là với dạng cánh này thành phần động năng chiếm hơn một nửa của cột nước H∞l, vậy tổn thất lớn.
- Khi β2 = 900 , nhìn vào Hình 3 - 4,c ta thấy C2u = U2 thay vào ( 3 - 10 ) ta có:
Hđ = , dạng cánh này cho ta cột nước động và tĩnh bằng nhau.
- Khi β2 < 900 , nhìn Hình 3 - 4, a ta thấy C2u < U2, thay vào ( 3 - 10 ) ta có :
Hđ = , dạng cánh này cho ta cột nước động nhỏ hơn một nửa cột nước H∞l . Vậy tổn thất thủy lực trong bơm là nhỏ nhất trong ba dạng cánh.
Từ những tính toán trên và nhận xét những mặt khác ta chọn dạng cánh có β2 < 900 làm dạng cánh để chế tạo, vì nó có những ưu điểm sau:
- Khi β2 < 900 sẽ tạo phần lớn cột nước tĩnh ngay trong cánh quạt, giảm tổn thất thủy lực;
- Khe cánh quạt uốn ra sau nên mở rộng đều đặn hơn so với β2 > 900 và chỉ một lần cong cũng giảm tổn thất thủy lực trong cánh quạt và dễ chế tạo hơn;
- Sự thay đổi công suất thủy lực tương đối ít khi lưu lượng thay đổi, do vậy tạo điều kiện cho động cơ làm việc thuận lợi. Chế độ làm việc ít thay đổi thì hiệu suất bơm cũng cao hơn.
Phần lớn người ta chọn góc β2 từ 15 ... 400 để chế tạo bơm .
Quá trình làm việc trong phần tĩnh của bơm li tâm
Phần tĩnh của máy bơm li tâm gồm: đọan từ mặt bích ống hút vào cửa vào BXCT, phần xoắn ốc bao quanh BXCT và đoạn nối hình nón khuếch tán với bích cửa ra.
a) Sơ đồ phần dẫn ; b) Sơ đồ bơm có rãnh xoắn ; c) Sơ đồ phần ra có cánh hướng.
Phần dẫn cần đảm bảo nước chuyển động tịnh tiến vãoBXCT với vận tôc phân bố đều đặn nhất, thường được làm ở dạng hình nón cụt thu hẹp hoặc dạng hình nửa xoắn bên ( Hình 3 -2, a ). Mặt cắt ngang của phần dẫn co hẹp dần khoảng 10 ... 20% diện tích.
Phần xoắn ốc ( Hình 3 - 5,b ) thu nước từ BXCT ra, mặt cắt ngang của nó thường có dạng quả lê, tròn hoặc dạng chữ nhật và tăng dần theo tỷ lệ góc quay từ "lưỡi gà" 4 đến tiết diện tròn cửa ra của nón khuếch tán 3. Dòng chảy trong phần xoắn có đặc tính không gian phức tạp. Nếu mô hình dòng chảy là đơm giản thì ở chế độ thiết kế Q = Q0 có thể coi vận tốc trung bình của dòng chảy dọc theo phần xoắn là không đổi và bằng:
( 3 - 11 )
Khi Q < Q0 : ở đoạn trước " lưỡi gà " có một phần chất lỏng từ phần xoắn 1 sẽ quay ngược vào lại BXCT. Khi Q > Q0 : ở đoạn này có một lượng nước từ BXCT thêm vào phần xoắn. Nếu ở trạng thái thiết kế áp lực tĩnh dọc phần bao BXCT thực tế là hằng số, thì khi Q ≠ Q0 thì áp lực này sẽ thay đổi nhiều. Bởi vậy bơm li tâm khi làm việc ở trạng thái khác thiết kế áp lực trong nó sẽ không còn đối xứng nữa dẫn đến gây rung động và lực hướng bán kính tác động lên nó sẽ tăng.
Giữa " lưỡi gà " của phần xoắn và BXCT có phần rãnh hở, thường bằng 0,03 ... 0,05 D2. Để giảm mức độ rung động rãnh này đôi khi làm rộng ra. Góc bao phần xoắn khoảng 3600 . Phần xoắn nối dần vào phần côn khuếch tán. Nhờ đoạn khuếch tán sẽ biến đổi động năng thành áp năng ngay trong phần xoắn.
Với mục đích giảm kích thước và khối lượng, người ta chế tạo máy bơm đa cấp có thêm cơ cấu dẫn dòng ( xem Hình 3 - 5,c ). Trong vỏ bơm, bao quanh BXCT 1 lắp những cánh dẫn dòng 3, nhờ vậy tạo nên những dòng xoắn thành phần 2 đưa chất lỏng vào các rãnh hình nón cụt khuếch tán vòng. Dòng chất lỏng đi ra từ các rãnh của cánh BXCT cấp thứ nhất sẽ hợp lại và qua đường dẫn vòng vào BXCT cấp tiếp theo ... Các lực hướng bán kính tác dụng lên BXCT được giảm nhỏ do đối xứng trong quá trình xảy ra trong rãnh xoắn ốc mà các cánh dẫn dòng 3 tạo nên. Nhược điểm của cơ cấu dẫn dòng ở đây là làm cho kết cấu phức tạp hơn buồng xoắn thông thường và giảm hiệu suất.