Thành phần cấu tạo hóa học của axit nucleic
Axit nucleic được F. Miescher phát hiện năm 1869. Có hai loại axit nucleic là axit deoxyribonucleic (DNA) và axit ribonucleic (RNA).
Axit deoxyribonucleic (DNA) là polyme có phân tử lượng lớn, có mặt trong tất cả tế bào sống. DNA tập trung chủ yếu ở các nhiễm sắc thể trong nhân tế bào, ngoài ra còn có một số lượng nhỏ nằm ở ty thể và lục lạp - là các DNA ngoài nhân. Số lượng DNA là không thay đổi trong nhân của các tế bào cùng loài. Axit ribonucleic có mặt cả trong nhân tế bào và trong nguyên sinh chất
Thành phần nguyên tố
Trong cấu tạo của axit nucleic có 5 nguyên tố hóa học là carbon (C), hydro (H), oxy (O), nitơ (N) và phospho (P). Trong đó, thành phần nitơ thường chiếm khoảng từ 8-10% và phospho là 15-16%.
Thành phần cấu tạo hóa học
Phân tử axit nucleic được cấu tạo từ 3 thành phần chính là các bazơnitơ, đường pentose và axit phosphoric.
Khi thuỷ phân hoàn toàn axit nucleic bằng enzyme hoặc bằng axit thì thu được ba thành phần chính là bazơ nitơ, đường pentose và axit phosphoric.
Nếu thuỷ phân từng bước bằng các enzyme thì đầu tiên, enzym ribonuclease cắt liên kết phosphoester, giải phóng các nucleotide - là đơn vị cấu tạo cơ bản của phân tử axit nucleic. Các nucleotide sẽ tiếp tục bị thuỷ phân dưới tác dụng của các enzyme nucleotidase và nucleosidase để giải phóng axit phosphoric, đường pentose và bazơ nitơ
- Bazơ pyrimidine là một vòng 6 cạnh có chứa hai nguyên tử nitơ. Các bazơ có nhân pyrimidine là cytosine (C) và thymine (T).
Trong điều kiện sinh lý, guanine và thymine thường tồn tại ở dạng ceton. Đôi khi, bazơ cytosine còn gặp dưới dạng 5-methyl cytosine, còn adenine và cytosine thường tồn tại dưới dạng amin.

Các bazơ nitơ
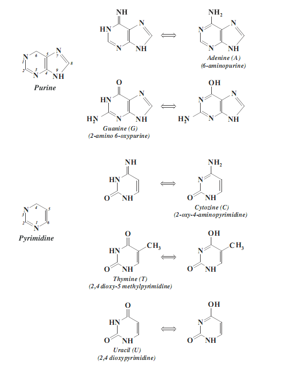
Có 2 nhóm bazơ nitơ là purine và pyrimidine
- Bazơ purine là hợp chất nitơ dị vòng. Vòng purine được nhà hoá học Đức E. Fischer gọi lần đầu tiên, trong đó, bao gồm một vòng pyrimidine và một vòng imidazol ghép lại. Các bazơ có nhân purine là adenine (A) và guanine (G). Mỗi bazơ đều có 2 dạng đồng phân. Một dẫn xuất quan trọng của bazơ adenine là hypoxanthine. Hypoxanthine được tạo thành khi nhóm −NH2 của adenine được thay bằng nhóm −OH. Hypoxanthine có ý nghĩa quan trọng trong quá trình trao đổi chất của tế bào sống.
- Bazơ pyrimidine là một vòng 6 cạnh có chứa hai nguyên tử nitơ. Các bazơ có nhân pyrimidine là cytosine (C) và thymine (T).
Trong điều kiện sinh lý, guanine và thymine thường tồn tại ở dạng ceton. Đôi khi, bazơ cytosine còn gặp dưới dạng 5-methyl cytosine, còn adenine và cytosine thường tồn tại dưới dạng amin.
Đường pentose
Trong DNA có chứa gốc đường deoxyribose, trong RNA chứa gốc đường ribose nằm dưới dạng vòng, có công thức cấu tạo là

Nucleoside và nucleotide
Nucleoside

Khi một bazơ nitơ liên kết ới phân tử đường pentose bằng liên kết β,N-glycoside sẽ tạo thành một nucleoside. Liên kết β,N-glycoside này hình thành giữa nguyên tử carbon thứ nhất (C1) của đường pentose với nguyên tử thứ 9 (N9) của bazơ purine hoặc với nguyên tử thứ nhất (N1) của bazơ pyrimidine.
- Nucleoside của bazơ pyrimidine với đường ribose mang tên của bazơ và có đuôi là “-idine” (thymidine, uridine, cytidine).
- Nucleoside của bazơ purin với đường ribose mang tên của bazơ và có đuôi là “-osine” (adenosine, guanosine).
- Khi bazơ nitơ liên kết với đường deoxyribose thì có thêm tiếp đầu ngữ “deoxy-“ (deoxyadenosine, deoxyguanosine, deoxycytisine). Riêng bazơ thymine chỉ có mặt trong DNA nên gốc đường trong nucleoside luôn là deoxyribose, trong trường hợp này, nhiều khi người ta không cần gọi thêm tiếp đầu ngữ “deoxy-“, mà chỉ gọi một cách đơn giản là thymidine.
Nucleotide

Nucleotide là ester phosphat của nucleoside. Axit phosphoric tạo liên kết ester với một nguyên tử carbon nào đó của đường (thường là ở C5), tạo thành nucleotide
Các nucleotide là đơn vị cấu tạo của axit nucleic, phân tử DNA được cấu tạo nên từ 4 loại nucleotide: dAMP, dGMP, dCMP và dTMP.
Nucleotide đóng vai trò sinh học quan trọng. Ngoài chức năng cấu tạo nên vật chất di truyền, chúng còn có mặt trong các coenzyme, xúc tác nhiều phản ứng hóa học trong tế bào như các coenzyme NAD, FAD, FMN và coenzyme A.
Tên gọi và chữ viết tắt của một số nucleotide
Tên gọ i | Ký hiệu |
Adenozine 5’-monophosphat (axit adenylic) | AMP |
Guanosine 5’-monophosphat (axit guanylic) | GMP |
Cytidine 5’-monophosphat (axit cytidytic) | CMP |
Uridine 5’-monophosphat (axit thymidylic) | UMP |
Deoxyadenosine 5’-monophosphat (axit deoxyadenylic) | dAMP |
Deoxyguanosine 5’-monophosphat (axit deoxyadenylic) | dGMP |
Deoxycytidine 5’-monophosphat (axit deoxycytidylic) | dCMP |
Deoxythymidine 5’-monophosphat (axit deoxythymidylic) | dTMP |
Cấu trúc phân tử DNA
Đặc điểm cấu tạo
Axit deoxyribonucleic (DNA) là phân tử mang thông tin di truyền của tế bào sống mà trong đó, gen là đơn vị di truyền cơ bản.
DNA được xây dựng từ 4 loại nucleotide: dAMP, dGMP, dCMP và dTMP. Gốc đường trong các nucleotide này là deoxyribose. DNA là một polynucleotide, các nucleotide nối với nhau bằng liên kết 3',5' phosphodiester. Hai liên kết ester được hình thành giữa gốc phosphat với carbon thứ 3 của nucleotide này và carbon thứ 5 của nucleotide nằm kề nó
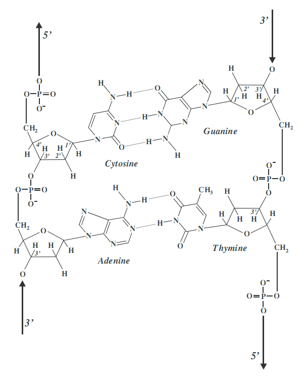
Phân tử DNA bao gồm hai sợi polynucleotide ngược chiều nhau, bazơ purine của sợi polynucleotide này nằm đối diện với bazơ pyrimidine của sợi polynucleotide kia theo quy luật bổ sung nghiêm ngặt: adenine đứng đối diện với thymine (A−T) và guanine đứng đối diện với cytosine (G-C). Hai sợi polynucleotide được giữ vững và ổn định nhờ các liên kết hydro giữa các bazơ nitơ của hai mạch
Hướng chuyển dịch điện tử trong liên kết hydro
Quy luật liên kết bổ sung giữa hai loại bazơ nitơ do E. Chargaft phát hiện. Khi nghiên cứu thành phần các bazơ nitơ trong phân tử axit nucleic, ông thấy rằng: Số bazơ adenine luôn bằng thymine và số bazơ guanine luôn bằng cytosine. Quy tắc này được gọi là quy tắc Chargaft
A = T và G = C hay = 1
Về sau, các nhà nghiên cứu thấy rằng: số lượng các cặp bazơ A−T và G−C rất khác nhau ở mỗi loài nên quy tắc này được bổ sung nội dung sau
Tỷ lệ (A+T)/(G+C) là tuỳ theo loài
Một đặc điểm rất quan trọng của các bazơ nitơ như đã nêu ở phần trên là chúng có các dạng đồng phân. Nếu xét về góc độ hoá học thuần tuý, dựa vào khả năng cho và nhận điện tử của các nguyên tử trong các loại bazơ nitơ (Hình 1-5), thì khi thay đổi dạng đồng phân, bazơ adenine có thể tạo liên kết hydro với cả bazơ thymine (A−T) và cytosine (A−C), tương tự như vậy, bazơ guanine cũng có thể tạo liên kết với cytosine (G−C) và thymine (G−T).
Trong điều kiện sinh lý của tế bào, người ta thấy, bazơ adenine và cytosine thường nằm dưới dạng amino, nghĩa là, nguyên tử nitơ gắn với vòng purine và pyrimidine luôn có hai nguyên tử nitơ (−NH2), rất ít khi gặp ở dạngimin (−NH). Tương tự như vậy, ở bazơ guanine và thymine, nguyên tử oxy gắn ở carbon thứ 6 của vòng purine và pyrimidine luôn nằm dưới dạng ceton (C=O) và rất ít khi gặp ở dạng enol (C−OH) (Hình 1-5). Như vậy, vị trí của nguyên tử hydro ở các nhóm thế trên là hết sức quan trọng. Nếu nguyên tử hydro không cố định vị trí thì sẽ dẫn đến sự bắt cặp nhầm giữa A−C và G−T, làm thay đổi trình tự sắp xếp và thành phần các bazơ nitơ trên các sợi polynucleotide. Nếu trường hợp này xảy ra thì bộ máy di truyền sẽ bị biến động, phân tử DNA của thế hệ này sẽ khác thế hệ trước. Tuy nhiên, tế bào cơ thể sống luôn có cách kiểm soát thích hợp để đảm bảo bộ máy di truyền ổn định từ thế hệ này qua thế hệ khác, về vấn đề này, chúng ta sẽ xem xét ở phần sau.
Cấu trúc bậc II - Mô hình Watson và Crick
Năm 1953, Watson và Crick đã khám phá ra mô hình cấu trúc phân tử DNA - đây là một phát minh quan trọng của thế kỷ XX, đánh dấu một bước ngoặt cho sự phát triển của di truyền học. Watson và Crick đã được trao giải thưởng Nobel năm 1962.
Theo Watson và Crick, mô hình cấu tạo không gian của DNA có những đặc điểm chính sau
- Phân DNA gồm hai sợi polynucleotide sắp xếp theo hai hướng ngược chiều nhau (đối song song): sợi bên này có đầu 3'−OH thì sợi bên kia sẽ là 5'−P.
- Hai sợi cùng xoắn (xoắn đôi) xung quanh một trục chung.
- Các bazơ nitơ của hai sợi nằm quay vào trong. Bazơ của sợi này đứng đối diện với bazơ của sợi kia theo quy luật bổ sung A đối diện T và G đối diện C. A nối với T bằng hai liên kết hydro, G nối với C bằng 3 liên kết hydro.
- Nhóm phosphat và gốc đường trong chuỗi polynucleotide xoay ra ngoài, hình thành liên kết với nước, đảm bảo tính ổn định cho phân tử.
- Mỗi vòng xoắn ốc tương ứng với 10 cặp bazơ, chiều cao của mỗi vòng xoắn ốc là 34Å (1Å = 10-10 m). Như vậy, chiều cao của mỗi nucleotide là 3,4Å, đường kính trong là 20Å
Các dạng cấu trúc của DNA
Phân tử DNA ở sinh vật eucaryote có dạng thẳng, còn phần lớn tế bào procaryote có dạng vòng. Tuy nhiên, dù vòng hay thẳng, các DNA đều có cấu tạo cuộn xoắn.
+ Dạng thẳng: Phân tử gồm hai sợi xoắn kép, đối song song, mỗi sợi đều có đầu 3'−OH và 5'−Phosphat tự do.
Ngày nay, người ta đã phát hiện và mô tả được 6 loại cấu trúc xoắn đôi của DNA là A, B, C, D, E và Z. Sự khác nhau giữa các loại được thể hiện chủ yếu ở những đặc điểm sau
- Chiều xoắn (xoắn phải hoặc xoắn trái),
- Số lượng đôi bazơ trong mỗi vòng xoắn,
- Khoảng cách giữa mỗi đôi bazơ,
- Khoảng cách lớn nhất giữa mỗi sợi.
Loại B là loại hay gặp nhất trong điều kiện sinh lý và là loại đúng theo mô hình của Watson và Crick, có chiều xoắn phải.
Loại Z được tìm thấy trong nhiễm sắc thể của ruồi dấm, có chiều xoắn trái và 12 đôi bazơ trong mỗi vòng xoắn.
Loại A được tìm thấy trong môi trường chứa nhiều ion natri hay canxi, có chiều xoắn phải và có 11 đôi bazơ trong mỗi vòng xoắn.
Loại C, D và E không có mặt trong cơ thể sống.
+ Dạng vòng : Phân tử hình tròn, xoắn. Có thể gặp dạng xoắn đơn vòng như DNA và một số virus hay dạng xoắn đôi của DNA vi khuẩn.
Tính chất của DNA
Dung dịch DNA có tính keo do phân tử lớn và có tính axit do có chứa gốc axit phosphoric.
Dưới tác dụng của các tác nhân như nhiệt hay các chất hóa học (formamide, urê), hai sợi đơn của phân tử DNA bị tách rời do các liên kết hydro giữa các bazơ bổ sung bị phá vỡ - hiện tượng này gọi là sự biến tính của DNA. Giá trị trung bình của khoảng nhiệt độ trong quá trình biến tính gọi là nhiệt độ nóng chảy của DNA (Tm - melting Temperature). Sau khi hai mạch đơn của phân tử DNA tách rời ra, nếu ta giảm nhiệt độ từ từ, cộng với điều kiện thích hợp thì hai mạch sẽ bắt cặp trở lại - hiện tượng này gọi là sự hồi tính. Nếu ta giảm nhiệt độ một cách đột ngột thì sự bắt cặp trở lại sẽ không diễn ra.
Các nucleotide trong DNA hấp thụ tia cực tím với độ dài bước sóng tối đa là 260nm. Do vậy, khả năng hấp thụ tia cực tím của hai sợi đơn sẽ lớn hơn một sợi kép.
DNA bị thủy phân dưới tác dụng của các enzyme nuclease.
Các thí nghiệm chứng minh DNA là vật chất di truyền
Các chứng minh gián tiếp
Trước đây, người ta cho rằng, protein là vật chất di truyền, quan niệm này vẫn còn tồn tại cho đến những năm đầu của thế kỷ XX. Sau khi phát hiện ra axit nucleic (1869) và nhà hóa học Đức R. Feulgen tìm ra phương pháp nhuộm màu đặc hiệu với axit nucleic (1914), thì rất nhiều kết quả nghiên cứu về axit nucleic đã làm sáng tỏ rằng, DNA mới là vật chất di truyền chứ không phải là protein.
Những phát hiện sau đây gián tiếp cho thấy DNA là vật chất di truyền
- DNA có mặt trong tất cả các tế bào sống, từ vi sinh vật, thực vật cho đến các động vật bậc cao.
- DNA là thành phần chủ yếu của các nhiễm sắc thể trong nhân tế bào.
- Hàm lượng DNA trong tất cả các tế bào dinh dưỡng (tế bào soma) của một loại sinh vật bất kỳ nào đều giống nhau, không phụ thuộc vào trạng thái hay chức năng của chúng. Ngược lại, hàm lượng RNA và protein lại thay đổi tùy theo trạng thái sinh lý.
- Khi gây đột biến bằng tia tử ngoại, người ta thấy hiệu quả gây đột biến cao nhất là ở bước sóng 260nm, là bước sóng mà DNA hấp thụ cao nhất.
- Số lượng DNA trong các tế bào sinh dục (trứng, tinh trùng, noãn, phấn hoa,...) bằng một nửa số lượng DNA trong tế bào dinh dưỡng của cơ thể.
Thí nghiệm của Griffith và Oswald Avery
Năm 1928, Griffith đã phát hiện ra hiện tượng biến nạp (transformation) ở vi khuẩn Streptococcus pneumoniae gây bệnh sưng phổi ở động vật có vú. Vi khuẩn này có hai dạng khác nhau
- Dạng S (Smooth) có khuẩn lạc láng trên môi trường thạch. Tế bào của vi khuẩn dạng này có vỏ bao (capsule) nên hệ thống miễn dịch của cơ thể động vật không thể tấn công tiêu diệt được, vì vậy, khi xâm nhập vào cơ thể, chúng gây nên bệnh sưng phổi.
- Dạng R (Rough) có khuẩn lạc nhăn, tế bào của chúng không có vỏ bao, nên khi xâm nhập vào cơ thể động vật, chúng sẽ bị hệ thống miễn dịch của động vật tiêu diệt, không gây nên bệnh.
Griffith đã phát hiện ra rằng, nếu tiêm dịch vi khuẩn dạng S đã đun sôi đến chết vào chuột thì chuột không bị bệnh. Nhưng khi tiêm vào chuột hỗn hợp bao gồm một lượng nhỏ vi khuẩn sống dạng R với một lượng lớn tế bào vi khuẩn dạng S đã đun chết, thì chuột phát bệnh và chết. Lấy máu của chuột chết vì bệnh này đưa vào môi trường nuôi cấy, ông thấy sự có mặt của vi khuẩn dạng S. Như vậy, vi khuẩn dạng S không thể tự sống trở lại sau khi bị đun đến chết được, nhưng các tế bào chết này đã truyền tính gây bệnh cho tế bào sống dạng R. Hiện tượng này gọi là biến nạp.
Năm 1914, Oswald Avery, Colin Mc. Leod và Maclyn Mc. Carty đã xác định tác nhân gây biến nạp bằng thí nghiệm theo sơ đồ

DNA của tế bào vi khuẩn gây bệnh dạng S được tách và làm sạch. Mặc dù đã tách và làm sạch nhưng sản phẩm thu nhận được vẫn còn một ít protein. Giả thiết, nếu protein là tác nhân gây biến nạp thì sau khi xử lý loại bỏ protein bằng enzyme protease và phối trộn với tế bào sống dạng R, thì hiện tượng biến nạp sẽ không xảy ra. Ngược lại, nếu tác nhân biến nạp là DNA thì sau khi loại bỏ DNA bằng enzyme deoxyribonuclease và phối trộn với tế bào sống dạng R thì cũng sẽ không xuất hiện hiện tượng biến nạp.
Kết quả thí nghiệm cho thấy, hiện tượng biến nạp chỉ tìm thấy khi có mặt DNA, còn ở trường hợp DNA bị enzyme phá hủy thì không xuất hiện hiện tượng biến nạp. Điều đó khẳng định rằng, chính DNA là tác nhân gây biến nạp, truyền tính gây bệnh từ tế bào dạng S sang tế bào dạng R của vi khuẩn.
Thí ngiệm của A. Hershey và M. Chase
Năm 1952, bằng thí nghiệm về sự xâm nhập của virus bacteriophage T2 (gọi tắt là phage) vào vi khuẩn E. Coli, Alfred Hershey và Martha Chase đã chứng minh trực tiếp rằng, DNA chính là vật chất di truyền.

Phage T2 có cấu tạo gồm 2 thành phần chính, vỏ protein bên ngoài và DNA ở bên trong phần đầu, tỷ lệ giữa 2 thành phần này là tương đương. Khi xâm nhập vào vi khuẩn, người ta xác định rằng: đầu tiên, phần đuôi của phage bám vào màng tế bào của vi khuẩn, sau đó, một phần chất nào đó được bơm vào tế bào vi khuẩn và sau một thời gian, rất nhiều tế bào virus mới được tạo thành bên trong tế bào của vi khuẩn và chui ra ngoài.
Thí nghiệm của A. Hershey và M. Chase được tiến hành với mục đích xác định xem, chất nào của phage được bơm vào tế bào vi khuẩn để tạo ra các thế hệ phage mới.
Dựa vào thành phần cấu tạo của DNA và protein, người ta thấy rằng: DNA chứa nhiều phospho nhưng không chứa lưu huỳnh, còn protein thì chứa lưu huỳnh. Vì vậy họ đã sử dụng 2 đồng vị phóng xạ là S35 và P32 để gắn vào protein và DNA của phage T2 nhằm dễ dàng theo dõi. Tiến trình thí nghiệm gồm các bước sau
Tạo ra một thế hệ phage T có protein chứa S35 và có DNA chưa P32 bằng cách nuôi vi khuẩn E. Coli trên môi trường có S35 và P32. Thế hệ phage35 T mới tạo thành sẽ mang đồng vị phóng xạ
- Tách virus đã mang đồng vị phóng xạ.
- Cho virus mang đồng vị phóng xạ xâm nhập vào tế bào vi khuẩn E. Coli không mang đồng vị phóng xạ. Bước này thực hiện bằng cách cho phage T2 tiếp xúc với tế bào vi khuẩn trong khoảng thời gian đủ để virus bám vào màng tế bào của vi khuẩn và bơm vật chất di truyền của chúng vào trong tế bào, rồi dung dịch được lắc mạnh và li tâm để tách rời tế bào vi khuẩn ra khỏi phần còn lại của phage bên ngoài tế bào.
- Phân tích thành phần phóng xạ ở phần nằm ngoài tế bào vi khuẩn của phage và phần nằm bên trong tế bào vi khuẩn.
Kết quả cho thấy: Phần nằm ngoài tế bào vi khuẩn của phage có chứa nhiều S35 (80%) nhưng rất ít P32. Điều đó cho thấy rằng, phần lớn protein của vỏ phage nằm ngoài tế bào vi khuẩn. Ngược lại, phần bên trong tế bào vi khuẩn có chứa nhiều P32 (70%), nhưng ít S35, chứng tỏ rằng, DNA được bơm vào tế bào vi khuẩn để sinh sản ra một thế hệ phage mới.
Từ các kết quả thí nghiệm đi đến kết luận: Vật chất di truyền của phage T2 là DNA.