Bảo vệ chống sự cố gián tiếp bên trong MBA

BẢO VỆ CHỐNG SỰ CỐ GIÁN TIẾP BÊN TRONG MBA

Có các loại bảo vệ sau:

  • Rơle khí (BUCHHOLZ).
  • Bảo vệ quá nhiệt.
  • Rơle phát hiện tốc độ tăng, giảm áp suất dầu.
  • Bảo vệ dòng dầu bộ điều áp.

Sử dụng loại nào là tuỳ quan điểm của nhà sản xuất và tuỳ từng cỡ máy. Thường được dùng phổ biến là rơle khí (hình 2.15).

Rơle khí Buchholz (96B):

Rơle hoạt động dựa vào sự bốc hơi của dầu máy biến áp khi bị sự cố và mức độ hạ thấp dầu quá mức cho phép.

Nguyên lý cấu tạo (a) và vị trí bố trí trên MBA của rơle hơi(Hình 2.15)

Rơle khí được đặt trên đoạn ống nối từ thùng dầu đến bình dãn dầu của MBA. Rơle có hai cấp tác động gồm có hai phao bằng kim loại mang bầu thuỷ tinh có tiếp điểm thuỷ ngân hay tiếp điểm từ. Ở chế độ làm việc bình thường trong bình đầy dầu, các phao nổi lơ lửng trong dầu, tiếp điểm rơle ở trạng thái hở. Khi khí bốc ra yếu (ví dụ vì dầu nóng do quá tải), khí tập trung lên phía trên của bình rơle đẩy phao số 1 xuống, rơle gởi tín hiệu cấp 1 cảnh báo. Nếu khí bốc ra mạnh (chẳng hạn do ngắn mạch cuộn dây MBA đặt trong thùng dầu) luồng khí di chuyển từ thùng dầu lên bình dãn dầu đẩy phao số 2 xuống gởi tín hiệu đi cắt máy cắt của MBA.

Một van thử được lắp trên rơle: Khi thử nghiệm rơle, lắp máy bơm không khí nén vào đầu van thử. Mở khóa van, không khí nén bên trong rơle cho đến khi phao hạ xuống đóng tiếp điểm.

Một nút nhấn thử để kiểm tra sự làm việc của 2 phao. Khi nhấn nút thử đến nửa hành trình, sẽ tác động cơ khí cho phao trên hạ xuống (lúc này cả 2 phao đang nâng lên vì rơle chứa đầy dầu) đóng tiếp điểm báo hiệu (cấp 1) của phao trên. Tiếp tục nhấn nút thử đến cuối hành trình, sẽ tác động cơ khí cho phao dưới cũng bị hạ xuống (do phao trên đã hạ xuống rồi) đóng tiếp điểm mở máy cắt (cấp 2) của phao dưới.

Dựa vào thành phần và khối lượng hơi sinh ra người ta có thể xác định được tính chất và mức độ sự cố. Do đó trên rơle hơi còn có thêm van để lấy hỗn hợp khí sinh ra nhằm phục vụ cho việc phân tích sự cố. Rơle hơi tác động chậm thời gian làm việc tối thiểu là 0,1s; trung bình là 0,2s.

rơle bảo vệ quá nhiệt cuộn dây MBA (26W):

Nhiệt độ định mức máy biến áp phụ thuộc chủ yếu vào dòng điện tải chạy qua cuộn dây MBA và nhiệt độ của môi trường xung quanh. Tuỳ theo từng loại cũng như công suất định mức của MBA mà dải nhiệt độ cho phép của chúng có thể thay đổi, thông thường nhiệt độ của cuộn dây dưới 95oC được xem là bình thường.

Thiết bị chỉ thị nhiệt độ cuộn dây được trình bày như hình 2.39 (tương tự thiết bị chỉ thị nhiệt độ dầu).

để đo nhiệt độ cuộn dây MBA người ta thường dùng thiết bị loại AKM 35, đây là thiết bị sử dụng điện trở nhiệt có phần tử đốt nóng được cấp điện từ biến dòng phía cao và hạ máy biến áp. Rơle nhiệt độ cuộn dây gồm bốn bộ tiếp điểm (mỗi bộ có một tiếp điểm thường mở, một tiếp điểm thường đóng với cực chung) lắp bên trong một nhiệt kế có kim chỉ thị.

Thiết bị chỉ thị nhiệt độ cuộn dây (Hình 2.40)

Cơ cấu rơle gồm: chỉ thị quay để ghi số đo, một bộ phận cảm biến nhiệt, một ống mao dẫn nối bộ phận cảm biến nhiệt với cơ cấu chỉ thị. Bên trong ống mao dẫn là chất lỏng được nén lại. Sự co giãn của chất lỏng trong ống mao dẫn thay đổi theo nhiệt độ mà bộ cảm biến nhận được, tác động lên cơ cấu chỉ thị và bốn bộ tiếp điểm. Đồng thời, tác động lên cơ cấu chỉ thị và các tiếp điểm, còn có một điện trở đốt nóng. Cuộn dây thứ cấp của một máy biến dòng điện đặt tại chân sứ máy biến áp được nối với điện trở đốt nóng. Để chỉnh định cho phần tử đốt nóng, người ta sử dụng một biến trở đặt ở tủ điều khiển cạnh máy biến áp. Tác dụng của điện trở đốt nóng (tùy theo dòng điện qua cuộn dây máy biến áp) và bộ cảm biến nhiệt lên cơ cấu đo cùng các bộ tiếp điểm sẽ tương ứng với nhiệt độ điểm nóng, nhiệt độ của cuộn đây.

Có 4 vít điều chỉnh nhiệt độ để đặt trị số tác động cho 4 bộ tiếp điểm. Tùy theo thiết kế, các tiếp điểm rơle nhiệt độ có thể được nối vào các mạch, báo hiệu sự cố “nhiệt độ cuộn dây cao”, mạch tự động mở máy cắt để cô lập máy biến áp, mạch tự động khởi động và ngừng các quạt làm mát máy biến áp.

Rơle nhiệt độ cuộn dây hoạt động ở 2 cấp:

  • Cấp 1: Khi nhiệt độ cuộn dây MBA ở 115oC sẽ báo động bằng tín hiệu đèn còi.
  • Cấp 2: Khi nhiệt độ cuộn dây MBA là 120oC thì báo động bằng tín hiệu đèn còi và tác động đi cắt máy cắt cô lập máy biến áp ra khỏi lưới.

Ngoài ra, rơle nhiệt độ cuộn dây MBA còn có tác dụng đưa các tín hiệu đi điều khiển hệ thống làm mát cho MBA. Ví dụ đối với MBA làm mát bằng quạt thổi thì hệ thống quạt mát sẽ làm việc khi nhiệt độ cuộn dây MBA đạt đến một trong các giá trị 750C ở cuộn cao, 800C ở cuộn hạ và 600C đối với nhiệt độ dầu. Hệ thống này sẽ dừng khi nhiệt độ cuộn dây và dầu MBA giảm 100C dưới các giá trị khởi động trên.

Rơle nhiệt độ dầu (26Q):

Để đo nhiệt độ lớp dầu trên sử dụng hai đồng hồ. Một đồng hồ nhiệt độ dầu báo tín hiệu ở 800C và một đồng hồ nhiệt độ dầu tác động cắt máy cắt ở 900C. các đồng hồ này sử dụng nguyên lý cảm ứng nhiệt độ. Phần tử cảm ứng nhiệt được bỏ trong hộp nhỏ và được đặt gần đỉnh của thùng dầu của máy biến áp.

Cách lắp rơle nhiệt độ trong máy biến áp (Hình 2.38)

Rơle nhiệt độ dầu gồm có cơ cấu chỉ thị quay để ghi số đo, một bộ phận cảm biến nhiệt, một ống mao dẫn nối bộ phận cảm biến nhiệt với cơ cấu chỉ thị. Bên trong ống mao dẫn là chất lỏng (dung dịch hữu cơ) được nén lại. Sự co giãn của chất lỏng (trong ống mao dẫn) thay đổi theo nhiệt độ mà bộ phận cảm biến nhiệt nhận được, sẽ tác động cơ cấu chỉ thị và các tiếp điểm. Các tiếp điểm sẽ đổi trạng thái ‘’mở‘’ thành ‘’đóng’’, ‘’đóng’’ thành ‘’mở ‘’ khi nhiệt độ cao hơn trị số đặt trước. Bộ phận cảm biến nhiệt được lắp trong lỗ trụ bọc kín, ở phía trên nắp máy biến áp, bao quanh lỗ trụ là dầu, để đo nhiệt độ lớp dầu trên cùng của máy biến áp. Thường dùng nhiệt kế có 2 (hoặc 4) vít điều chỉnh nhiệt độ để có thể đặt sẵn 2 (hoặc 4) trị số tác động cho 2 (hoặc 4) bộ tiếp điểm riêng rẽ lắp trong nhiệt kế. Khi nhiệt độ cao hơn trị số lắp đặt cấp 1, rơle sẽ đóng tiếp điểm cấp 1 để báo tín hiệu sự cố ‘’nhiệt độ dầu cao‘’ của máy biến áp. Khi nhiệt độ tiếp tục cao hơn trị số cấp 2, rơle sẽ đóng thêm tiếp điểm cấp 2 để tự động cắt máy cắt, cắt điện máy biến áp, đồng thời cũng có mạch đi báo hiệu sự cố ‘’cắt do nhiệt độ dầu cao‘’ (Bộ phận chỉ thị nhiệt độ như hình 2.39).

Trong đó:

  • 1. Bộ phận cảm biến nhiệt.
  • 2. Ông mao dẫn (capillary tubo).
  • 3. Kim chỉ thị nhiệt độ .
  • 4. Hai vít điều chỉnh nhiệt độ hai bộ tiếp điểm .
  • 5. Hai bộ tiếp điểm rơle nhiệt độ dầu .
  • Nhiệt độ môi trường sử dụng : -100C đến 700 C.
  • Thang đo : -200C → 0 → +1300C.
  • Thang điều chỉnh : -200C → 0 → +1300C.
  • Sai số của trị số đo được : + 30C.
  • Khoảng sai biệt tác động của tiếp điểm : 10-14.

II.4. Cấu tạo rơle mức dầu tại máy biến áp (33):

Vị trí lắp rơle mức dầu tại máy biến áp (Hình 2.41)

Rơle mức dầu gồm hai bộ tiếp điểm lắp bên trong thiết bị chỉ thị mức dầu, ở máy biến áp có bộ đổi nấc điện áp có tải (bộ điều áp dưới tải) thì thùng giãn nở dầu được chia làm hai ngăn (hình 2.41). Ngăn có thể tích chiếm phần lớn thùng giãn nở, được nối ống liên thông dầu qua rơle hơi đến thùng chính máy biến áp (để có thể tích giãn nở dầu cho máy biến áp). Ngăn có thể tích chiếm phần nhỏ hơn nhiều của thùng giãn nở, sẽ được nối ống liên dầu đến thùng chứa bộ điều áp dưới tải. Thùng chính máy biến áp và thùng bộ đổi nấc được thiết kế riêng rẽ, không có liên thông dầu với nhau. Vì vậy, có hai thiết bị chỉ mức dầu lắp tại hai đầu thùng giản nở để đo mức dầu của hai ngăn thiết bị chỉ thị mức dầu máy biến áp và thiết bị chỉ thị mức dầu bộ điều áp dưới tải.

Cấu tạo của thiết bị chỉ thị mức dầu (Hình 2.42)

Cơ cấu của thiết bị chỉ thị mức dầu gồm hai bộ phận (hình 2.42): Bộ phận điều khiển và bộ phận chỉ thị. Bộ phận điều khiển có một phao (3), thanh quay (8) trục quay (9) có lắp nam châm vĩnh cửu (4). Bộ phận điều khiển lắp trên vỏ máy (đầu thùng giãn nở) có vòng đệm. Bộ phận chỉ thị gồm kim chỉ (6) lắp trên trục mang một nam châm vĩnh cửu (5). Bộ phận chỉ thị được làm bằng nhôm để tránh bị ảnh hưởng từ trường nam châm và chống ảnh hưởng của nước.

Khi mức dầu nâng hạ thì phao (3) nâng hạ theo. Chuyển động nâng hạ của phao được chuyển thành chuyển động quay của trục (9) nhờ thanh quay (8). Khi quay từ trường do nam châm (4) sẽ điều khiển cho nam châm (5) quay sao cho hai cực khác tên (N và S) của hai nam châm đối diện nhau (hai cực cùng tên có lực đẩy, hai cực khác tên có lực hút nhau). Do vậy kim chỉ thị quay theo nam châm (5), ghi được mức dầu trên mặt chỉ thị. Bộ phận chỉ thị cũng tác động đóng mở các tiếp điểm rơle mức dầu để đưa tín hiệu vào mạch báo động hoặc mạch cắt tùy theo từng thiết kế.

Bảo vệ áp suất tăng cao trong máy biến áp (63):

Rơle bảo vệ dự phòng cho máy biến thế lực, chỉ danh vận hành là R.63. Khi có sự cố trong máy biến áp, hồ quang điện làm dầu sôi và bốc hơi ngay, tạo nên áp suất rất lớn trong máy biến áp. Thiết bị an toàn áp suất lắp trên nắp thùng chính máy biến áp sẽ mở rất nhanh (mở hết van khoảng 2ms) để thoát khí dầu từ thùng chính MBA ra môi trường ngoài, áp suất trong thùng chính sẽ giảm. Trong thiết bị an toàn áp suất có gắn rơle áp suất.

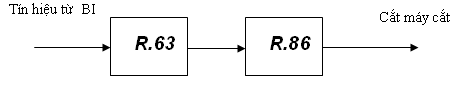
 Sơ đồ khối của bảo vệ R.63 tại trạm:

Sơ đồ khối bảo vệ R.63 (Hình 2.43)

Ở tình trạng làm việc bình thường, van đĩa bị nén bởi lò xo nên làm kín thùng chính máy biến áp. Khi có sự cố bên trong thùng chính máy biến áp thì áp suất trong thùng chính tăng cao sẽ lớn hơn áp lực nén của lò xo, van đĩa sẽ chuyển động thẳng lên, làm hở thành khe hở xung quanh chu vi van đĩa. Khí sẽ thoát ra tại khe hở vòng đệm, làm giảm áp suất trong thùng. Khi van đĩa di chuyển lên thì cũng tác động lên cái chỉ thị cơ khí bung lên, đồng thời tác động tiếp điểm rơle áp suất gởi tín hiệu tới mạch báo động và tự động cắt máy cắt cô lập máy biến áp ra khỏi lưới điện. Khi áp suất trở lại bình thường, muốn tái lập lại MBA thì phải nhấn cái chỉ thị cơ khí (đã bị bung lên) về vị trí cũ, đồng thời đặt lại rơle áp suất bằng nút nhấn.

Bảo vệ áp suất tăng cao trong bộ đổi nấc máy biến áp (R.63 OLTC):

Rơle bảo vệ tác động theo áp suất thùng điều áp dưới tải máy biến áp lực, là bảo vệ dự phòng cho máy biến áp. Chỉ danh vận hành trên sơ đồ bảo vệ là R.63 OLTC (On Load Tap Changer).

Cấu tạo và nguyên lý vận hành của rơle tương tự như R.63 đã nói ở trên. Khi có sự cố bên trong thùng đổi nấc máy biến áp thì rơle sẽ tác động và tự động cắt máy cắt cô lập MBA ra khỏi lưới điện.

Sơ đồ khối của bảo vệ R.63 OLTC tại trạm:

Sơ đồ khối bảo vệ R63 OLTC (Hình 2.44)

Muốn tái lập lại MBA sau khi rơle tác động phải đặt lại Rơle khóa trung gian R86.

Rơle khóa trung gian (86):

Rơle khóa trung gian R.86 thường được dùng là loại kiểu MVAJ-21 nhà chế tạo GEC ALSTOM.

Đặc điểm và ứng dụng của rơle như sau:

  • Thiết bị này dùng để ngắt mạch điện với độ an toàn cao, đặc biệt chúng có thể dùng để ngắt mạch điện hoặc điều khiển các hoạt động đóng ngắt do tín hiệu được gởi tới từ các rơle khác. Rơle này có thể hoạt động ở hai chế độ tức thời hoặc có thời gian trì hoãn.
  • Rơle MVAJ có khả năng dập tắt được sự phóng điện do điện dung.
  • Rơle MVAJ là loại thiết bị bảo vệ dùng để giám sát sự hoạt động của các loại rơle bảo vệ khác.

 Nguyên tắc hoạt động:

Rơle MVAJ-21 chỉ hoạt động khi các rơle khác (có liên quan) đã làm việc. Khi rơle bảo vệ chính của thiết bị hoạt động thì cũng đồng thời tác động rơle R.86 làm việc. R.86 hoạt động sẽ cô lập nguồn điều khiển của các rơle điều khiển khác. Muốn tái lập lại sự làm việc bình thường của mạch điều khiển các thiết bị thì phải đặt lại R.86.