Sự ra đời của Bisphenol A
Vào năm 1905 Thomas Zincke trường đại học Marburg (Đức) công bố trên một tạp chí chuyên ngành hóa học đã tổng hợp được bisphenol A từ phenol và axêtôn (acetone) dựa trên các phản ứng hóa học được mô tả trong luận án của những nghiên cứu sinh trường Marburg. Trong bài viết, Zincke đã đề cập đến các tính chất lý hóa của bisphenol A nhưng không đưa ra những gợi ý về việc sử dụng chất này. Tên gọi khác của bisphenol A là 4,4'-dihydroxydiphenyldimethylmeth, công thức hóa học C15H16O2, khối lượng phân tử M=228,29, mã số hiện tại (CASNo: 80-05-7), tên viết tắt BPA. Trong cấu trúc phân tử có hai nhóm (-OH), hai vòng phenyl và hai nhóm (-CH3).
Một số tính chất của BPA: Chất bột hoặc tinh thể màu trắng, nhiệt độ nóng chảy 158-158 độ C, áp suất bốc hơi 0.2mmHg (ở 170 độ C). BPA không bền vững khi tiếp xúc với các chất như aceton, amoniac, benzen, chloroform, methanol, toluel, xylen, axit sunfuric đậm đặc... và được coi là bền vững đối với axit axetic, NH4Cl, CO2, O2, Ure, C2H5OH, Formaldehyde và một số chất khác.
Những ứng dụng của Bisphenol A
Năm 1953, TS Hermann Schnell làm việc cho công ty Bayer (Đức) và TS Dan Fox (công ty General Electric Mỹ) đã độc lập tổng hợp polycarbonate với vật liệu khởi đầu là BPA. Chất dẻo polycarbonate có những đặc tính ưu việt như sức chịu nhiệt, chịu lực và đặc biệt là tính quang học nên nhanh chóng được thương mại hóa, đưa vào sản xuất năm 1957 (tại Mỹ) và 1958 (tại châu Âu) rồi có mặt trong hàng loạt sản phẩm công nghiệp như các thiết bị quang học, thiết bị y tế, các dụng cụ thí nghiệm, các loại hộp và chai dùng cho chế biến thực phẩm, các phương tiện số hóa như CD, DVD, điện thoại di động, các hàng điện tử, vật liệu xây dựng, hàng loạt các đồ dùng trong gia đình...
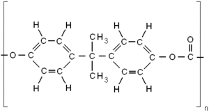
Tổng hợp chất dẻo polycarbonate từ BPA:




Những đồ dùng truyền thống có bị lãng quên?
Chúng ta không mấy ngạc nhiên khi nhiều đồ dùng như những chiếc rổ tre, rá vo gạo, những chiếc vại muối cà, muối dưa... hiếm dần không những trong các gia đình thành thị mà ngay cả ở nông thôn. Những đồ dùng hàng ngày ấy được thay bằng đồ nhựa. Đồ nhựa và các đồ dùng từ chất dẻo không chỉ xuất hiện trong các sản phẩm dùng trong công nghiệp nữa mà đi vào đời sống, hiện diện ở mọi nơi mọi lúc. Trẻ tiếp xúc với chúng từ khi sinh ra với những chiếc vú giả hay bình sữa, lớn thêm chút nữa là những đồ chơi và đồ dùng khi trưởng thành. Đồ nhựa được nhiều người sử dụng vì tiện lợi, giá cả phải chăng lại còn có vẻ "sạch" và dễ làm sạch hơn những chiếc rổ rá tre hay chiếc vại sành. Bên cạnh đồ nhựa còn mới, những đồ dùng khác như các loại hộp bằng chất dẻo hoặc các vật liệu khác dùng để chứa thực phẩm cũng được tận dụng để dùng lại.
Phải chăng những đồ dùng truyền thống của ta đang dần bị lãng quên?
Một số nghiên cứu về tác hại của Bisphenol A
Các nghiên cứu về ảnh hưởng của BPA đến sức khỏe đã chứng minh tác động của nó như sau:
Trên động vật thí nghiệm: thí nghiệm in vivo
- BPA (theo đường tiêu hóa hay tiêm dưới da) làm biến đổi kích thước, khối lượng của một số cơ quan như gan, thận, mang tràng, tử cung, bóng đái. Khi BPA xâm nhập vào cơ thể theo đường hô hấp (cho động vật thở không khí chứa BPA) làm xung huyết và viêm đường hô hấp trên.
- Các biến đổi vi thể: tạo các tế bào gan phì đại và đa nhân, tạo các khối thoái hóa kính trong bàng quang, biến đổi các biểu mô kép lát của tử cung và âm đạo, thay đổi cấu trúc của các ống sinh tinh, giảm số lượng tinh trùng ở con đực...
- Đối với khả năng sinh sản: BPA làm giảm khả năng sinh sản, giảm số lượng con đẻ ra, khối lượng sơ sinh của con non
- Thay đổi đến biểu hiện thành thục về tính của động vật thông qua ảnh hưởng đến bộ não và trục dưới đồi thị - tuyến yên - tuyến sinh dục.
- Thay đổi biểu hiện các gene mã hóa các cơ quan thụ cảm hormon sinh dục cái.
Nghiên cứu in vitro:
- BPA biểu hiện khả năng kích thích sự nhân lên của tế bào ung thư vú (MCF-7 cells), một loại tế bào mẫn cảm với hormon sinh dục nữ estrogen.
- Cạnh tranh và khóa cơ quan thụ cảm hormone sinh dục nam (testosteron) tái tổ hợp trên nấm men
- Đặc biệt, BPA ảnh hưởng đến quá sự phân ly của cặp nhiễm sắp thể trong giảm phân của các tế bào trứng trong buồng trứng.
Rõ ràng BPA không những biểu hiện độc tính với cơ thể nói chung mà còn thuộc chất gây ảnh hưởng đến sinh sản. Các nhà khoa học và nhiều tổ chức đã xếp BPA vào nhóm các chất gây biến đổi nội tiết (các endocrine disruptors)
Một khi có ảnh hưởng đến chức năng của các hormone, BPA sẽ có ảnh hưởng đến sự phát triển một số loại ung thư phụ thuộc hormon.
Một số quan sát cho thấy trẻ em dùng núm vú giả và bình sữa bị ảnh hưởng đến quá trình thành thục giới tính. Tin tức này được vnexpress bình chọn là một trong những sự kiện khoa học năm 2005. Có phải BPA là thủ phạm dẫn đến hiện tượng này?
Những quan điểm trái ngược
Các công bố của giới khoa học về tác hại của BPA liên tục xuất hiện trong những thập kỷ qua. Bên cạnh các kết quả khẳng định tác hại của BPA cnf có các thí nghiệm cho kết quả âm tính (BPA không biểu hiện ảnh hưởng). Tuy nhiên vấn đề mấu chốt là liều lượng thử và mục đích thí nghiệm (nghiên cứu ảnh hưởng ở cơ quan nào, loại tế bào nào...). Dù sao thì các thí nghiệm chỉ tiếp diễn trong một thời gian nhất định (có khi là 3 ngày theo hướng dẫn của tổ chức hợp tác và phát triển kinh tế-OECD, có khi là một tuần, một tháng hay một năm). Đối với con người điều gì sẽ sảy ra nếu mỗi ngày trong suốt cuộc đời (cả khi còn trong bụng mẹ) ta đã phải tiếp xúc với nó?
Ngay những tháng đầu năm 2006, trong khi một số tổ chức thuộc chính phủ Mỹ, Đức, hội đồng khoa học của ĐH Harvard nổi tiếng khẳng định BPA chỉ gây độc khi vào cơ thể với liều cao, các bang Maryland, California, Minnesota của Mỹ vẫn ban hành quy định cấm sản xuất, lưu hành tất cả các đồ chơi có chứa BPA cho trẻ dưới 3 tuổi.
Rõ ràng ai cũng biết BPA có hại không ở liều thấp thì cũng ở liều lượng cao nhưng thật khó vì con người cũng đã phụ thuộc vào nó quá nhiều.
Vài điều bàn luận
Các sản phẩm từ polycarbonate và nhiều loại khác được sản xuất mới hay tái sinh, được sử dụng đúng thời gian hay đến khi hỏng vẫn còn được dùng. Chúng có được kiểm định để xác định thành phần sau khi xuất xưởng? Đồ nhựa ta dùng có bị tiếp xúc với hóa chất làm chúng bị thoái hóa và giải phóng BPA?... Tất cả cũng chỉ là câu hỏi.
Không thể không dùng và từ bỏ tất cả nhưng nên chăng ta tránh nó ở mức độ có thể:
- Không dùng những đồ nhựa đã bị hư hỏng
- Tránh cho chúng tiếp xúc với hóa chất trong đó có các chất tẩy rửa
- Không nên cho trẻ nhỏ chơi đồ chơi bằng chất dẻo và nhựa, hạn chế dùng núm vú giả
- Không dùng các hộp cũ bằng nhựa hay bằng thiếc
....
Một điều nữa: Ta có nên quên những đồ dùng truyền thống?