Để hiểu được những hệ thống lớn, phức tạp có nhiều lớp đối tượng, thường chúng ta phải có cách chia các lớp đó thành một số nhóm được gọi là gói. Gói là một nhóm các phần tử của mô hình gồm các lớp, các mối quan hệ và các gói nhỏ hơn. Cách tổ chức hệ thống thành các gói (hệ thống con) chính là cách phân hoạch mô hình thành các đơn vị nhỏ hơn để trị dễ hiểu và dễ quản lý hơn. Gói được mô tả trong UML gồm tên của gói, có thể có các lớp, gói nhỏ khác và được ký hiệu như hình 1.

Khi phân chia các lớp thành các gói, chúng ta có thể dựa vào: các lớp chính (lớp thống trị), các mối quan hệ chính, các chức năng chính. Theo cách phân chia đó chúng ta có thể chia hệ thống thành các phân hệ phù hợp với cách phân chia trong hệ thống thực.
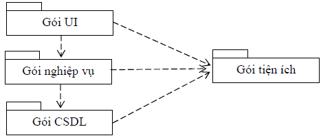
Hệ thống quản lý thư viện có thể tổ chức thành bốn gói: gói giao diện, gói nghiệp vụ, gói CSDL và gói tiện ích như hình 2. Trong đó,
- Gói giao diện (UI – User Interface): bao gồm các lớp giao diện với người dùng, cho các khả năng quan sát và truy nhập vào dữ liệu. Các đối tượng trong gói này có thể thực hiện các thao tác trên các đối tượng tác nghiệp để truy vấn hay nhập dữ liệu.
- Gói nghiệp vụ (Business Package): chứa các lớp thực thể thuộc lĩnh vực bài toán ứng dụng.
- Gói CSDL: chứa các lớp dịch vị cho các lớp ở gói tác nghiệp trong việc tổ chức, quản lý và lưu trữ dữ liệu.
- Gói tiện ích: chứa các lớp dịch vụ cho các gói khác của hệ thống.
Các gói của một hệ thống thường có mối quan hệ với nhau, như quan hệ phụ thuộc.