CÁC PHÉP TOÁN T R Ê N T Ậ P HỢP
C ác đ ị nh n g h ĩa
Hợp: Hợp của A và B là tập hợp gồm tất cả các phần tử thuộc ít nhất một trong hai
tập hợp A và B, ký hiệu 
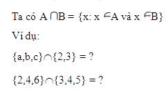
Giao: Giao của hai tập hợp A và B là tập hợp tất cả các phần tử vừa thuộc A, vừa
thuộc B, ký hiệu 
Hiệu: Hiệu của tập hợp A với tập hợp B là tập hợp tất cả các phần tử thuộc A nhưng



trong B, ký hiệu CAB
Phần bù của A trong B
Trong nhiều trường hợp, khi tất cả các tập hợp đang xét đều là tập con của một tập hợp U (được gọi là tập vũ trụ-đôi khi có nghĩa như trường hay không gian - trong vật lý), người ta thường xét phần bù của mỗi tập A, B, C,... đang xét trong tập U, khi đó ký hiệu phần bù không cần chỉ rõ U mà ký hiệu đơn giản là CA,CB,... hoặc 
Ví du.
Tích đề các
Tích Đ ề -các c ủ a h ai t ập h ợ p
tích Đề-các (Cartesian product). Xét trường hợp đơn giản gồm hai tập 
Tích

tử thuộc với phần tử đứng kế tiếp . Biểu diễn:
Tích Đ ề -các c ủ a m ột số h ữ u h ạn n h iều h ơ n h ai t ậ p
C á c tính c h ất c ơ b ản
Các phép toán trên tập hợp có các tính chất sau: