Công thức Simpson tính gần đúng tích phân xác định.
Xây dựng công thức.
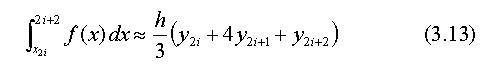
Chia đoạn [a,b] thành 2n đoạn bằng nhau, khi đó h=(b-a)/2n; Trên mỗi đoạn [x2i, x2(i+1)] thay hàm f(x) bởi công thức nội suy bậc hai và diện tích hình thang cong giới hạn bởi ham f(x) bởi diện tích hình thang cong giới hạn bởi parabol nội suy.
Ta có:
với
nên
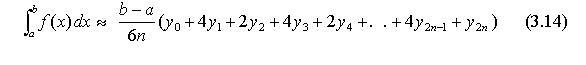
Lấy tổng theo i=0,..,n-1 ta được:
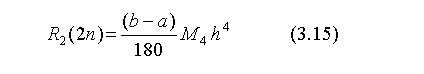
Ước lượng sai số.
Người ta đã chứng minh công thưc sước lượng sai số như sau:
trong đó
M4 = max |f(4)(x) | với x∈ [a,b]
Ví dụ. tính
.. Chia đoạn [0,1] thành 10 phần bằng nhau. Khi đó ta có 2n=10. Các giá trị của hàm
cho trong bảng sau: 
Đạo hàm 4 lần liên tiếp ta được:
Hàm này đạt giá trị cực đại tại x=1 và M2= 76.e
Vậy:
Ví d ụ
Hãy tính gần đúng tích phân
1
I = ∫ (1/(1+x2))dx
0
Ta đã biết giá trị đúng của tích phân này là π/4. Như vậy I ≈ 0.78539816
Ta sẽ tính gần đúng I bằng công thức Simson rồi so sánh kết quả.
Chia đoạn [0,1] thành 2n = 4 đoạn con bằng nhau, với h=0.25, ta tính ra bảng sau:
Theo công thức Simpson ta có
I = (h/3)*(y0 + y4 + 4y1 + 4y3 + 2y2).
Thay các giá trị ở bảng trên vào ta có
= (0.25/3)*(1 + 3.76471 + 1.6 +2.56000 + 0.5) ≈ 0.785399