Feedback controls in biological networks

Introduction

With the aid of technology, the structure of biological networks such as transcriptional network, protein-protein interaction network, metabolic networks, neuronal network,… are revealed. However, the dynamical roles of those networks are not well understood yet since those networks are complicated. One way of understanding the dynamical roles of the whole network is studying the properties of network building blocks then re-composes the whole networks.

The feedback loops are reported to be ubiquitous basic elements of transcriptional regulation network, signaling transduction pathway, cell cycle regulatory networks, circadian rhythm regulation network ... The feedback loops consist of two types, positive and negative feedback loops.

The positive feedback loops are responsible for bistability. That mean, the positive feedback loop creates discontinuous output response from continuous input. They are regarded as toggle switches for making all-or-none decision, self-perpetuating states, ... In certain cases, the positive feedback loop could make a one way switch, once the output turns on, it never turns off. There are two types of positive feedback loops, mutual activation and mutual inhibition.

In negative feedback loop (NFL), the output P somehow suppresses its own production through a feedback loop. Typically, in negative feedback loops, the output P activates its inhibitor X through a signal pathway including several components which introduce a time delay in feedback loop. The delay negative feedback loop (dNFL) could able to generate oscillation. The dNFL's are widely found in many biological systems such as signaling pathway, cell cycle regulation networks, circadian clocks.

However, in many biological systems the positive and negative feedbacks hook up and cooperate to work out the desired functions of the systems. For instance, the Mitotic trigger and regulation of the cell cycle of various organisms is regulated by interlocked PFL and dNFL related to the Mitotic Promoting Factor (MPF) and its friends and enemies (APC). The interlocked positive and delay negative feedback loops related to the CLOCK genes are also found in circadian regulation networks in broad range of species.

Aims of study

The dynamical roles of single feedback loops have been well studied theoretically and experimentally. However, interlocking of feedback loops might bring up new features that the single one don’t have. Interlocking of same type of feedback loops might reinforce the properties from single one. And interlocking of different types might bring up new features and provide the flexible controllability.

In this work, we systematically investigate the interlocked feedback loops, to answer the questions. Are there any new features from interlocked systems out of the features of single one? What is biological advantage and disadvantage of the new features if any?

Results and Discussions

Interlocking of two positive feedback loops reinforce bistability and provide tri-stability.

There are two types of positive feedback loops: mutual activation (fig. 1A) and mutual inhibition (fig. 1B). In the former type, the output somehow increases its own strength or steady state level through a positive feedback loop, so-called self-enhancing positive feedback loop (ePFL). Meanwhile, in the later type, the output somehow removes its suppression through positive feedback to recur itself, so-called self-recovering PFL (rPFL).

Wired diagrams of (A) Self-enhancing positive feedback loop, (B) Self-recovering positive feedback loop, and (C) negative feedback loop. Solid and dashed arrows represent the reactions and regulatory effect of components, respectively.

The positive feedback loops are responsible for bistability or bistable switches as shown in fig. 2. The bistability means that the system have two stable steady state separated by a unstable one at the same input signal. In the ePFL, as long as input S increases, the output P reaches to a certain threshold re to turn on its helper TF. Once the helper turns on, the output level P is enhanced from simple regulation (dashed-line) (fig. 2A). Depend on the feedback strength ke, the enhancement could be continuous (red line) or discontinuous (blue line) or even irreversible (magenta line). Mean while in the rPFL, the output initially is suppressed from simple regulation (dashed line) (fig. 2C). As long as the input increases, the output P accumulates then be able to turn down its inhibitor E to release it self (red and blue lines).

The two-parameter bifurcation diagrams of ePFL and rPFL (fig. 2B, D, respectively) show the effect of feedback strength on the bistability. The bistability region emerges and expands when the feedback strength gets stronger.

Self-enhancing and Self-recovering positive feedback loop (ePFL). (A, C) Input-response curve of ePFL and rPFL with none (dashed-dotted), weak (red), strong (blue) and very strong (magenta) feedback strength, respectively: The solid and dashed black lines represent stable and unstable steady state of output P, eSN1 and eSN2 are saddle node bifurcation of ePFL. (B, D) The Input-feedback strength phase diagrams showing regions of monostability and bistability.

The ePFL is referred to as an amplification module. The input signal S is passed through and amplified. The amount of amplification is proportional to the strength of transcription factor TF. The stronger feedback strength, the larger amplification is.

The ePFL works as a buffer. When the input signal increases, the output response is increased but buffered in inactive state until it wins the batter with its suppressor. Thus, the output response is delayed from input S. The delay strongly depends on suppressor capacity (feedback strength), k r size 12{k rSub { size 8{r} } } {} . The stronger suppressor, the more output P delays.

By interlocking of ePFL and rPFL, the system could generate tristability (fig. 3A4, fig. 3C4) beside monostability and bistability that come from single feedback loops. The tristability means that, the system has three stable steady states separated by two unstable ones. In the case that ePFL and rPFL cooperate, the two bistable regions of single feedback loops emerge to create a larger bistable region. This reinforces the stability of the system.

(A1-A4, B1-B4, C1-C4) input-output response of output P at different activation levels of ePFL and rPFL with different feedback strength as shown. Red, blue and black lines represent input-output response of a single ePFL, rPFL and interlocking of ePFL and rPFL (iPFL). The dashed-dotted line represents input-output response curve of simple regulation.

The use of bistable region is for preventing turning on/off output response P due fluctuation of input S. The larger bistable region, the more reliability is. To enhance the reliability, one would change the positive feedback strength by which the bistable region would be enlarged. However, the disadvantage of doing that in that way is that the two SN bifurcation points, SN1 and SN2 which determine turning on/off of output P, moves together to the same direction, resulting in inflexibility of controlling turning on/off point .

By interlocking of two positive feedback loops, that disadvantage is solved easily. The fig. 4A shows input-response curves of output P of ePFL (red), rPFL (blue) and iPFL (black) in cooperation. The bistable region of iPFL is extended and much larger than that of isolated ePFL and rPFL. Moreover, the bistable region is expanded to both left and right directions when the two feedback strengths simultaneously increase, fig. 4B. Thus, one might expect that the two saddle node bifurcations of iPFL, iSN1 and iSN2, could be flexible controlled through two positive feedback strengths of rPFL and ePFL, respectively.

The bistable regions of interlocking of same positive feedback types, ePFL with ePFL and rPFL with rPFL, are also greatly enhanced as shown in fig. 4C. However, the bistable region is strongly moved to the same side, fig. 4E, F.

Interlocking of same PFL types might appear in biological system to provide backup mechanism. If one PFL is corrupted, the other would bring the system back to work.

Flexible controllability of interlocking of positive feedback loops. (A, C, E) Input-output response of ePFL (red), rPFL (blue) and iPFL (black). eSN12, rSN12, and iSN12 are saddle node bifurcation points of ePFL, rPFL and iPFL, respectively. (B, D, F) Input-feedback strength phase plots of interlocking of an ePFL and an rPFL (EM), two ePFLs (EE), and two rPFLs (MM), respectively. The dashed and solid lines are saddle node bifurcation curves of isolated ePFL (eSN1, eSN2 – red)), rPFL (rSN1, rSN2 - blue) and interlocked iPFLs (iSN1, iSN2 - black). The feedback strength of each positive feedback loops are lumped.

Generic model of cell cycle checkpoint

The common regulatory module at the G2/M check point is shown in Figure 5A. The mitosis promoting factor MPF (Cdc28/Clb2 in budding yeast, Cdc13/Cdc2 in fission yeast, Cdk2/Cyclin B in mammal) is synthesized proportionally to the cell size S (1, 2). The MPF exists in two forms, active (unphosphorylated) and inactive (phosphorylated). The MPF is phosphorylated (inactive) by the kinase Wee1 and Mik1 in fission yeast and human cells, (budding yeast homolog Swe1). The MPF is able to inhibit Wee1 by phosphorylating Wee1. Wee1 is transiently inactivated (hyperphosphorylated) during M-phase and then degraded (3). The MPF is activated by phosphatase Cdc25 (budding yeast homolog Mih1) which remove the phosphorylation of MBF. And MPF activates Cdc25 by phosphorylation. Thus MPF regulates an ePFL through Cdc25 and an rPFL through Wee1 (4-6).

Wee1 and Cdc25 are reported to be required for cell control at G2/M transition. The size control at G2/M in the mutation wee1Δ cells are abrogated resulting in smaller size at cell division, (2, 7). Overexpression of Wee1 causes delayed entry into mitosis and an increase in cell size (7). Similarly, cells lacking Cdc25 (cdc25Δ mutant cells) undergo delayed mitosis, producing abnormally large cells. And over-expression of Cdc25 causes premature entry into mitosis and decreased cell size (7).

Wee1 and Cdc25 also are reported to be targeted by DNA damage and DNA unreplicated checkpoints. When the DNA damage or DNA unreplicated occurs, checking proteins, Chk’s, are activated through a pathway. The Chk’s delay cell cycle by promoting Wee1 activity and inhibiting Cdc25 activity (5, 8).

In this generic model, the Chk’s activity is implemented by assuming that the DNA damage signal activates Chk activity, D, which respectively increases and decreases effect of Wee1 and Cdc25 on activation and inactivation of the MPF. In other word, Chk activity increases rPFL feedback strength and decreases ePFL feedback strength.

When DNA damage occurs, the cell cycle progress is blocked and the G2/M transition is delayed until DNA damage is repaired. DNA damage checkpoint arrest cells in G2 by up-regulating activity of Wee1 and down-regulating activity of Cdc25 (4, 5). However, cells with absence of Cdc25 still could delay the mitosis entry (4, 5).

By generic model, that behavior could be archived. At the normal growth condition, G2/M transition is controlled by cell size and determined by the SN bifurcation at cell size S=S1, at which, the MPF activity abruptly increases to promote mitosis entry, M phase (Figure 5B).

By blocking the ePFL through Cdc25 (Figure 5C), the G2/M transition in response to DNA damage is delayed at larger size (Cell Size ~S3), Figure 5D. This is in agreement with experimental data (5, 9). However, Cdc25 alone (blocking Wee1 activity) does not delay the G2/M transition. The G2/M transition at saddle node point is close to that of wild type (S2~S1), Figure 5E and F.

Thus, the rPFL through Wee1 provides Pinocchio effect of G2/M transition by extending the G2 phase to larger cell size.

The activation and inactivation of Cdc25 is respectively controlled by MPF which phosphorylates Cdc25 and Clp1 which removes the phosphate from Cdc25 (9). Therefore, Cdc25 activates when MPF wins Clp1 in their battle and inactivates otherwise.

Stabilization of Cdc25 active form, Cdc25p, by deleting Clp1p would significantly advance the G2 phase and cause cell division at smaller size (9).

Indeed, by blocking activity of Clp1 (reducing inactivation rate of Cdc25, Figure 5G), the MPF can easily win the battle and then activate the Cdc25 at smaller cell size resulting in premature mitosis entry (S4<S1, Figure 5H). This is in agreement with experimental data (9). (10, 11)

Pinocchio effect controllability at G2/M check point. (A, B) Wildtype: The wired diagram and bifurcation diagram of G2/M transition (black) without DNA damage, respectively. (C, D) DNA damage affect suppresses Cdc25 activity: Wired-diagram and bifurcation diagram of G2/M transition (black), respectively. (E, F) DNA damage affect promotes Wee1 activity: Wired-diagram and bifurcation diagram of G2/M transition (black), respectively.

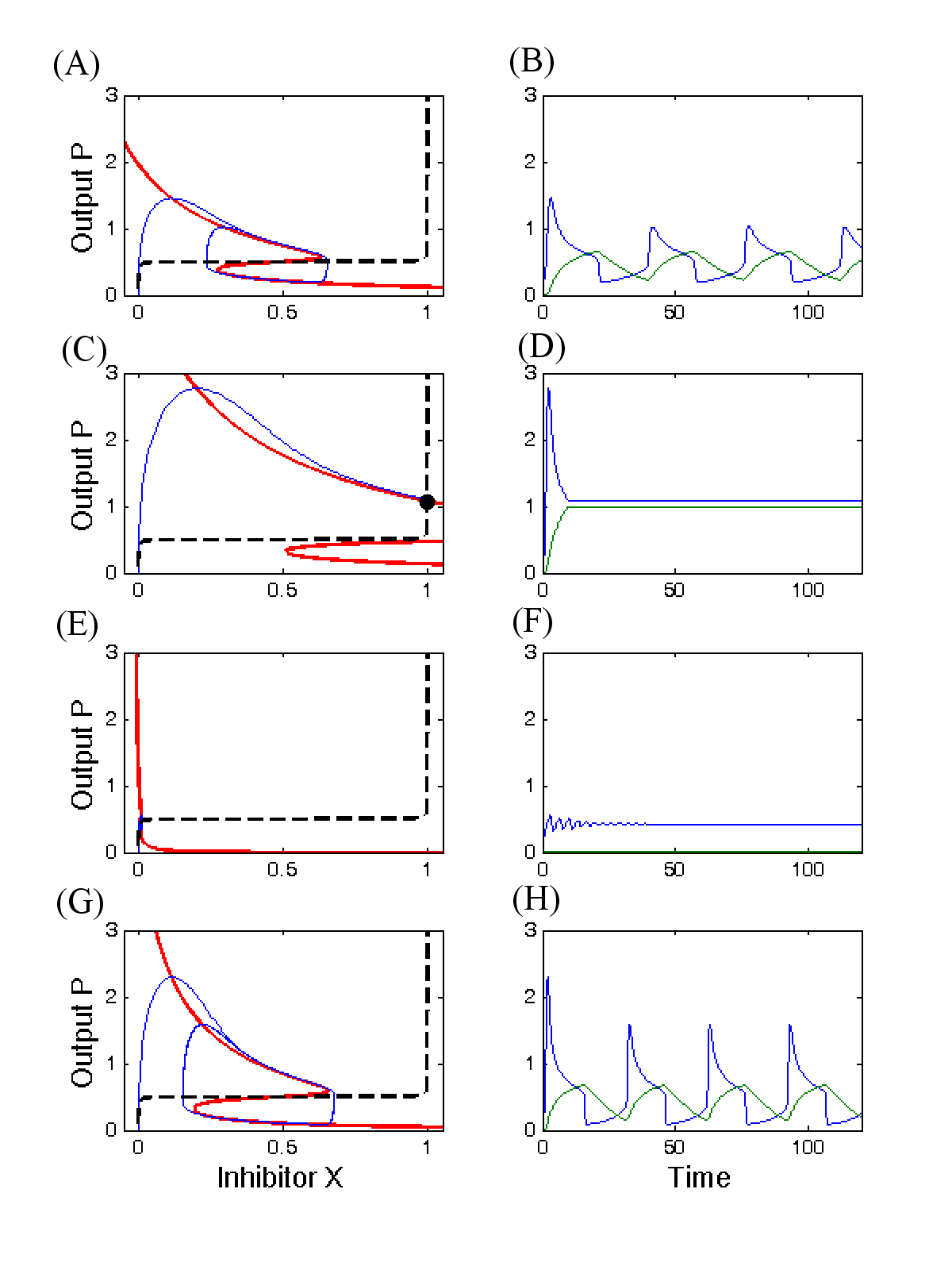
Interlocking of a positive and a negative feedback loops: Relaxation oscillation with flexible controllability of amplitude and frequency

The oscillation comes from cooperation of positive and negative feedback loops. The negative feedback loop drives output P back and forth between low and high steady states which are from positive feedback loop Figure 5A. Therefore, the oscillation properties such as amplitude and frequency strongly depend on feedback strengths of and embedded delay time in feedback loops. Too weak or two strong positive or negative feedback strength would shutdown the oscillation (Figure 6D, F). To enlarge the amplitude to as large as we want, the positive and negative feedback strengths would be increased but they must be in agreement with each other in order to maintain the balance of positive and negative feedback effect Figure 6H.

(A, B) Cooperation of PFL and NFL generates relaxation oscillation. (C, D) Dominant positive feedback strength leads to stable steady state. (E, F) Dominant negative feedback strength leads to damped oscillation. (G, H) Balanced positive and negative feedback strengths maintain and enlarge amplitude of sustained oscillation.

It is shown that, increasing positive feedback strength would increase the amplitude of iPNFL oscillation but reduces the frequency, (Figure 7A). In contrast, increasing negative feedback strength would decrease the amplitude of iPNFL oscillation but increase the frequency (Figure 7B). In both cases, the oscillation would vanish when positive or negative feedback strength is overwhelmed. The contradict of increment and decrement of amplitude and frequency with respect to single feedback strengths suggest that changing one of feedback strength would break out the balance of positive and negative feedback effects.

Bifurcation diagram (top row) with amplitude (middle row) and frequency (bottom row) of output P with respect to (A) positive feedback strength, (B) negative feedback strength, (C) lumped feedback strength k ( ke=k size 12{k rSub { size 8{e} } ital "=k"} {}, knk size 12{k rSub { size 8{n} } ital "=ε" cdot k} {}, where ε=kn/ke size 12{ ital "ε=k" rSub { size 8{n} } /k rSub { size 8{e} } } {} ) and (D) time delay τ size 12{τ} {}. Black solid and dashed thin lines represent stable and unstable steady state. Black thick lines represent maxima and minima of oscillation, amplitude and frequency of dNFL oscillation. Blue (red) thick lines represent maxima and minima of oscillation, amplitude and frequency of stable (unstable) iPNFL oscillation.

Future works

In the next study, the regulatory network of circadian rhythm is taken into account. More specifically, the regulatory network of circadian rhythm is composed of a positive feedback loop, a fast negative feedback loop and a slow negative feedback loop.

The circadian rhythms have three general criteria that are necessary to differentiate genuinely endogenous rhythms from coincidental or apparent ones: the rhythms persist in the absence of cues, they can be brought to match the local time, and will do so in a precise manner over a range of temperatures.

The question is how those feedback loops could keep the circadian match to the criteria? In the multi-cell organism, how the circadian rhythm could be synchronized dynamically from cell to cell?

References

1. Chen, K. C., Csikasz-Nagy, A., Gyorffy, B., Val, J., Novak, B. & Tyson, J. J. (2000) Mol Biol Cell 11, 369-91.

2. Novak, B., Pataki, Z., Ciliberto, A. & Tyson, J. J. (2001) Chaos 11, 277-286.

3. Poon, R. Y., Chau, M. S., Yamashita, K. & Hunter, T. (1997) Cancer Res 57, 5168-78.

4. Rhind, N. & Russell, P. (2001) Mol Cell Biol 21, 1499-508.

5. Raleigh, J. M. & O'Connell, M. J. (2000) J Cell Sci 113 ( Pt 10), 1727-36.

6. Rupes, I. (2002) Trends Genet 18, 479-85.

7. Kellogg, D. R. (2003) J Cell Sci 116, 4883-90.

8. Niida, H. & Nakanishi, M. (2006) Mutagenesis 21, 3-9.

9. Wolfe, B. A. & Gould, K. L. (2004) Embo J 23, 919-29.

10. Tyson, J. J., Csikasz-Nagy, A. & Novak, B. (2002) Bioessays 24, 1095-109.

11. Reynolds, A. R., Tischer, C., Verveer, P. J., Rocks, O. & Bastiaens, P. I. (2003) Nat Cell Biol 5, 447-53.