Khái niệm và phân loại hiệu quả đầu tư
Hiệu quả đầu tư là phạm trù kinh tế biểu hiện quan hệ so sánh giữa các kết quả kinh tế-xã hội đạt được của hoạt động đầu tư với các chi phí phải bỏ ra để có các kết quả đó trong một thời kì nhất định.
Để đáp ứng nhu càc quản lý và nghiên cứu thì có thể phân loại hiệu quả đầu tư theo các tiêu thức sau đây:
- Theo lĩnh vực hoạt động của xã hội có hiệu quả kinh tế, hiệu quả xã hội, hiệu quả kĩ thuật hiệu quả quốc phòng.
- Theo phạm vi tác dụng của hiệu quả, có hiệu quả đầu tư của từng dự án, từng doanh nghiệp, từng ngành, địa phương và toàn bộ nền kinh tế quốc dân.
- Theo phạm vi lợi ích có hiệu quả tài chính và hiệu quả kinh tế-xã hội .Hiệu quả tài chính là hiệu quả kinh tế được xem xét trong phạm vi một doanh nghiệp cũng hiệu quả kinh tế-xã hội là hiệu quả tổng hợp được xem xét trong phạm vi toàn bộ nền kinh tế.
- Theo mức độ phát sinh trực tiếp hay gián tiếp có hiệu quả trực tiếp và hiệu quả gián tiếp.
- -Theo cách tính toán, có hiệu quả tuyệt đối và hiệu quả tương đối .Hiệu quả tuyệt đối là hiệu quả được tính bằng hiệu số giữa kết quả và chi phí. Cũng hiệu quả tương đối được tính bằng tỷ số giữa kết quả và chi phí.
Các chỉ tiêu đánh giá hiệu quả đầu tư
Chỉ tiêu đánh giá hiệu quả tài chính của hoạt động đầu tư
Hiệu quả tài chính (Etc) của hoạt động đầu tư là mức độ đáp ứng nhu cầu phát triển hoạt động sản xuất kinh doanh dịch vụ và nâng cao đời sống của người lao động trong các cơ sở sản xuất, kinh doanh dịch vụ trên cơ sở vốn đầu tư mà cơ sở đó sử dụng so với các ki khác, các cơ sở khác hoặc so với định mức chung .
Etc được coi là hiệu quả khi Etc >Etc0.
Trong đó:
Etc0 – chỉ tiêu hiệu quả tài chính định mức, hoặc của các kỳ khác mà cơ sở đạt được chọn làm cơ sở so sánh, hoặc của đơn vị khác đạt tiêu chuẩn hiệu quả.
Để đánh giá hiệu quả tài chính chúng ta phải sử dụng một hệ thống các chỉ tiêu.
Mỗi một chỉ tiêu phản ánh một khía cạnh của hiệu quả và sử dụng trong những điều kiện nhất định. Các chỉ tiêu này được xét trên hai phương diện khác nhau là đối với dự án đầu tư và đối với doanh nghiệp thực hiện đầu tư.
* Đối với dự án đầu tư:
Các chỉ tiêu hiệu quả tài chính của hoạt động đầu tư bao gồm :
- Chỉ tiêu lợi nhuận thuần, thu nhập thuần của dự án:
Chỉ tiêu này phản ánh hiệu quả tuyệt đối của dự án đầu tư. Chỉ tiêu lợi nhuận thuần tinh cho từng năm của đời dự án, phản ánh hiệu quả hoạt động trong từng năm của đời dự án. Chỉ tiêu thu nhập thuần phản ánh hiệu quả hoạt động của toàn bộ công cuộc đầu tư .Các chỉ tiêu này phải được tính chuyển về mặt bằng tiền tệ theo thời gian.
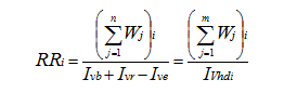
- Chỉ tiêu tỷ suất sinh lời của vốn đầu tư:
Trong đó :
RRi là mức sinh lời của vốn đầu tư năm i
Wipv là lợi nhuận năm I tính chuyển về thời điểm hiện tại .
Iv0 là vốn đầu tư tại thời điểm hiện tại (tại thời điểm dự án bắt đầu hoạt động)
Chỉ tiêu này phản ánh mức lợi nhuận thu được từng năm trên một đơn vị vốn đầu tư (1000đ, 1000000đ,…).
Trong đó:
NPV - là thu nhập thuần tính về thời điểm hiện tại .
Chỉ tiêu này phản ánh mức thu nhập thuần tính cho một đơn vị vốn đầu tư.
- Chỉ tiêu thời gian thu hồi vốn đầu tư (T)
Chỉ tiêu này cho biết thời gian ma dự án cần hoạt động để thu hồi vốn đầu tư đó bỏ ra từ lợi nhuận và khấu hao thu được hàng năm . Dự án có hiệu quả khi T=<T định mức. Thời gian thu hồi vốn càng ngắn thì hiệu quả của dự án càng cao.
- Chỉ tiêu hệ số hoàn vốn nội bộ (IRR) :
Hệ số hoàn vốn nội bộ là mức lãi suất nếu dựng nó làm tỷ suất chiết khấu để tính chuyển các khoản thu, chi của dự án về mặt bằng thời gian hiện tại thì tổng thu còn bằng với tổng chi. Dự án có hiệu quả khi IRR>=r giới hạn .Tỷ suất giới hạn được xác định căn cứ vào cấc ngườn vốn huy động của dự án .Chẳng hạn dự án vay vốn đầu tư thỡ tỷ suất giới hạn là lãi suất vay; nếu sử dụng vốn tự có để đầu tư thi tỷ suất giới hạn là mực chi phí cơ hội của vốn; nếu huy động vốn từ nhiều nguồn, tỷ suất giới hạn là tỷ suất bình quân từ các nguồn huy động v.v…
* Đối với doanh nghiệp thực hiện đầu tư:
Các chỉ tiêu hiệu quả tài chính được tính như sau:
- Chỉ tiêu tỷ suất lợi nhuận của vốn đầu tư:
Tính cho từng năm:
Trong đó:
Wi là lợi nhuận thuần của dự án j

Ivb là vốn đầu tư thực hiện trong năm i của doanh nghiệp .
Ivr là vốn đầu tư thực hiện chưa phát huy tác dụng ở cuối năm của doanh nghiệp.
Ive là vốn đầu tư phát huy tác dụng ở cuối năm i.
Tính bình quân:
Trong đó:


- Chỉ tiêu thời hạn thu hồi vốn đầu tư giảm kỳ nghiên cứu (t) so với kỳ trước (t-1):
K là hệ số mức ảnh hưởng của đầu tư.
Chỉ tiêu mức tăng năng suất lao động của từng năm hoặc bình quân năm thời kỳ so trước thời kỳ do đầu tư:
Trong đó:


Các chỉ tiiêu đánh giá hiệu quả kinh tế - xã hội
- Giá trị gia tăng thuần túy ký hiệu là NVA (Net value added):
Đây là chỉ tiêu cơ bản phản ánh hiệu quả kinh tế -xã hội của hoạt động đầu tư .NVA là mức chêng lệch giữa giá trị đầu ra và giá trị đầu vào. Công thức tính toán như sau:
Trong đó
NVA lá giá trị gia tăng thuần túy do đầu tư mang lại .
O(Output) là giá trị đầu ra của dự án .
MI(Material input) là giá trị đầu vào vật chất thường xuyên và dịch vụ mua ngoài theo yêu cầu để đạt được đầu ra trên .
Iv là vốn đầu tư bao gồm chi phí xây dựng nhà xưởng, mua máy móc, thiết bị …
NVA bao gồm 2 yếu tố:chi phí trực tiếp trả cho người lao động ký hiệu là Wg(wage) (tiền lương, tiền thưởng kể cả phụ cấp ).Và thặng dư xã hội ký hiệu là SS (social surplus).Thặng dư xã hội thể hiện thu nhập của xã hội từ dự án thông qua thuế gián thu, trả lời vay, lãi cổ phần, đóng bảo hiểm, thuê đất, tiền mua phát minh sáng chế …
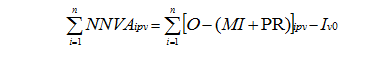
Đối với các dự án có liên quan đền các yếu tố nước ngoài (liên doanh, vay vốn từ bên ngoài, thuê lao động nước ngoài ), thì gá trị gia tăng thuần túy quốc gia (tíng cho cả đời dự án (NNVA) được tính như sau :
Trong đó:
PR là giá tri gia tăng thuần túy được chuyển ra nước ngoài.
- Chỉ tiêu số lao động có việc làm do thực hiện dự án:
Ở đây bao gồm số lao động có việc làm trực tiếp cho dự án và số lao động có việc làm ở các dự án khác được thực hiện do do đòi hỏi của sự án đang được xem xét. Trong khi tạo việc làm cho một số lao động, thì sự hoạt động của dự án mới cũng có thể làm cho một số lao động ở các cơ sở sản xuất kinh doanh khác bị mất việc do các cơ sở này không cạnh tranh nổi với sản phẩm của dự án mà phải thu hẹp sản xuất. trong số những lao động của dự án, có thể có một số là người nước ngoài .Do đó số lao động của đất nước có việc làm từ việc sẽ chỉ bao gồm lao động trực tiếp và lao động gián tiếp phục vụ cho dự án, trừ đi số lao động mất việc ở các cơ sở có liên quan và số người nước ngoài làm việc cho dự án.
- Chỉ tiêu mức giá trị gia tăng của mỗi nhóm dân cư:
Chỉ tiêu này phản ánh tác động điều tiết thu nhập giữa các nhóm dân cư hoặc vùng lãnh thổ. Để xác định chỉ tiêu này trước hết phải xác định nhóm dân cư hoặc vùng được phân phối giá trị tăng thêm (NNVA) của dự án. Sau đó xác định phần giá trị tăng thêm do dự án tạo ra mà nhóm dân cư hoặc vùng lãnh thổ thu được .Cuối cùng tính chỉ tiêu tỷ lệ giỏ trị gia tăng của mỗi nhóm dân cư hoặc mỗi vùng lãnh thổ thu được trong tổng giá trị gia tăng ở năm hoạt đông bình thường của dự án.