Hormon sinh dục nam

Tiết hormon trong dịch hoàn

Các tế bào Leydig trong dịch hoàn tiết ra một số hormon sinh dục nam ( bao gồm testosterone, dihydrotestosterone và androstenedione) được gọi với tên chung là các androgen. Trong các hormon trên, testosterone là thành phần chính. Một phần lớn testosterone biến đổi thành dihydrotestosterone để phát huy tác dụng tại các mô đích (target tissues).

Các tế bào Leydig nằm xen giữa các ống sinh tinh của dịch hoàn và chiếm khoảng 20% thể tích của dịch hoàn ở đàn ông trưởng thành. Trong thời kỳ bào thai, dịch hoan hầu như không có tế bào này. Số lượng tế bào tăng nhanh sau khi đẻ ra và tăng mạnh ở tuổi dậy thì. Nếu bị u tuyến kẽ (nơi chứa các tế bào Leydig) sẽ làm tăng tiết testosterone. Khi các tế bào sinh tinh (thuộc các ống sinh tinh) bị phá hủy bởi tia X hay tác động của nhiệt độ cao, các tế bào Leydig vẫn tiếp tục sản xuất testosterone mặc dù những tế bào leydig chúng dễ bị phá hủy hơn.

Tiết androgen tại các cơ quan khác

Tại tuyến thượng thận:

Androgen được dùng chỉ tất cả các steroid hormon có ảnh hưởng đến các đặc điểm sinh dục nam bao gồm testosterone và những hormon sinh dục sản xuất tại các cơ quan khác.

Tuyến thượng thận tiết ít nhất 5 loại androgen nhưng ảnh hưởng của chúng không đủ dẫn đến các biểu hiện "nam hóa" của nữ loại trừ một số đặc điểm (có thể có) như phát triển khung chậu và lông nách. Trong trường hợp phụ nữ có khối u tại tuyến thượng thận có thể dẫn đến tăng tiết các loại hormon này có những biểu hiện một số đặc điểm sinh dục thứ cấp của nam giới.

Tại buồng trứng:

Trong một số trường hợp, sau khi rụng trứng, các tế bào còn lại ở nang trứng có thể phát triển thành u nang và có khả năng sản xuất androgen . Buồng trứng bình thường cũng sản xuất một lượng nhỏ androgen.

Đặc điểm hóa học và trao đổi

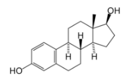
Cấu tạo của testosterone

Tất cả các androgen là các steroid và được tổng hợp từ cholesterol hay trực tiếp từ acetylcoenzyme A.

Cấu tạo của testosterone Sau khi được tiết ra trong dịch hoàn, phần lớn testosteron ở

dạng liên kết lỏng lẻo vơi albumin hoặc beta-globulin (gonadal steroid-binding globulin) và lưu thông trong máu từ 15-30 phút để đến cơ quan đích phát huy tác dụng.

Testosteron cũng có thể bị phân hủy và được bài tiết.

Cấu tạo của dihydrotestosterone

Một lượng lớn testosterone đến cơ quan đích được biến đổi thành dihydrotestosterone, phần nhỏ hơn biến đổi thành 5-alpha-androstanediol (đặc biệt tại tuyến tiền liệt hay cơ quan sinh dục ngoài của bào thai). Một số tác dụng của testosterone phụ thuộc vào bước biến đổi này trong khi đó một số tác dụng khác thì không.

Phân hủy và thải trừ

Lượng testosterone không được gắn với mô đích sẽ nhanh chóng bị biến đổi (chủ yếu do tác dụng của gan) thành androsterone và dehydroepiandrosterone và ở trạng thái kết hợp (glucoronide hay sulfate) rồi đi vào ruột (theo mật) hoặc ra ngoài theo nước tiểu.

Estrogen trong cơ thể nam

Estradiol

Sản suất estrogen tại dịch hoàn: Ngoài testosterone, một lượng nhỏ estrogen (hormon sinh dục nữ) cũng được sản xuất tại dịch hoàn (lượng estrogen do dịch hoàn tổng hợp bằng khoảng 1/9 lượng estrogen ở phụ nữ không mai thai). Estrogen cũng còn có thể được tái hấp thu trở lại từ nước tiểu. Chức năng của estrogen trong cơ thể nam giới vẫn đang được nghiên cứu.

Nguồn gốc của estrogen trong cơ thể nam giới có thể do : (1) Các tế bào Sertoli sản xuất (vì lượng estrogen sẽ giảm nếu tế bào ống sinh tinh bị pha hủy); (2) Estrogen được biến đổi từ testosterone hay androstenedione tại các mô khác (đặc biệt là ở gan).