Gọi ΔnE= là số điện tử trong một đơn vị thể tích có năng lượng từ E đến E+ΔE. Theo định nghĩa, mật độ điện tử trung bình có năng lượng từ E đến E+ΔE là tỉ số

Do đó, nếu ta biết được hàm số ta có thể suy ra được số điện tử có năng lượng trong khoảng từ E đến E+dE bằng biểu thức (2). Ta thấy rằng ρ(E) chính là số trạng thái năng lượng E đã bị điện tử chiếm. Nếu gọi n(E) là số trạng thái năng lượng có năng lượng E mà điện tử có thể chiếm được. Người ta chứng minh được rằng: tỉ số bằng một hàm số f(E), có dạng:
Trong đó, K=1,381.10-23 J/0K (hằng số Boltzman)
EF năng lượng Fermi, tùy thuộc vào bản chất kim loại.
Mức năng lượng này nằm trong dải cấm.
Ở nhiệt độ rất thấp (T≈00K)
Nếu E<EF, ta có f(E)=1
Nếu E>EF, ta có f(E)=0
Vậy f(E) chính là xác suất để tìm thấy điện tử có năng lượng E ở nhiệt độ T.
Hình trên là đồ thị của ρ(E) theo E tương ứng với nhiệt độ T=00K và T=2.5000K.
Ta thấy rằng hàm ρ(E) biến đổi rất ít theo nhiệt độ và chỉ biến đổi trong vùng cận của năng lượng EF. Do đó, ở nhiệt độ cao (T=2.5000K) có một số rất ít điện tử có năng lượng lớn hơn EF, hầu hết các điện tử đều có năng lượng nhỏ hơn EF. Diện tích giới hạn bởi đường biểu diễn của ρ(E) và trục E cho ta số điện tử tự do n chứa trong một đơn vị thể tích.
(Để ý là f(E)=1 và T=00K)
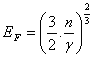
Từ đây ta suy ra năng lượng Fermi EF
Nếu ta dùng đơn vị thể tích là m3 và đơn vị năng lượng là eV thì có trị số là:
y= 6,8.1027
Do đó, 
Nếu biết được khối lượng riêng của kim loại và số điện tử tự do mà mỗi nguyên tử có thể nhả ra, ta tính được n và từ đó suy ra EF. Thông thường EF < 10eV.
Thí dụ, khối lượng riêng của Tungsten là d = 18,8g/cm3, nguyên tử khối là A = 184, biết rằng mỗi nguyên tử cho v = 2 điện tử tự do. Tính năng lượng Fermi.
Giải: Khối lượng mỗi cm3 là d, vậy trong mỗt cm3 ta có một số nguyên tử khối là d/A. Vậy trong mỗi cm3, ta có số nguyên tử thực là:
với A0 là số Avogadro (A0 = 6,023.1023)
Mỗi nguyên tử cho v = 2 điện tử tự do, do đó số điện tử tự do trong mỗi m3 là:
Với Tungsten, ta có: