Thiết kế các phần mềm điều khiển hệ thống nhúng

Thiết kế phần mềm điều khiển

Hình 10.1: Hệ thống điều khiển số

Để thực thi một bộ điều khiển số trên thiết bị vật lý thực phải đòi hỏi xét xem bộ điều khiển với mô hình hàm truyền đã cho có thể hiện thực hóa được không. Điều kiện phải xét thực ra là để đảm bảo rằng không có đầu ra nào của hệ thống lại xuất hiện trước khi có tín hiệu vào. Hay nói cách khác hệ thống xây dựng phải tuân thủ tính nhân quả.

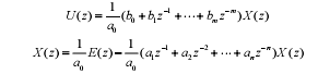
Nếu khai triển hàm truyền của bộ điều khiển số được mô tả ở dạng tổng quát:

thành chuỗi lũy thừa theo z thì nó phải không được phép chứa bất kỳ phần tử nào chứa lũy thừa dương của z. Hay nói cách khác là bộ điều khiển được mô tả như trên phải có bậc ≤ 0 tức là bậc của tử số phải nhỏ hơn hoặc bằng bậc của mẫu số (n ≥ m). Sau khi đã thiết kế được bộ điều khiển số thì việc còn lại là lập trình và nạp vào các bộ điều khiển vật lý khả trình. Thực chất quá trình này là thực thi hàm truyền của bộ điều khiển số bằng lập trình số trên các bộ điều khiển vật lý đã có. Ở đây chúng ta sẽ chủ yếu quan tâm đến việc triển khai để chuẩn bị cho bước lập trình các hàm truyền của bộ điều khiển số. Xuất phát từ mô tả hàm truyền dạng tổng quát của bộ điều khiển số:

trong đó, a0 ≠ 0 nếu b0 ≠ 0 ; m và n là các số nguyên dương.

Có thể triển khai để thực thi một hàm truyền của bộ điều khiển số theo 3 cách như sau:

Triển khai lập trình số trực tiếp

Để triển khai lập theo phương pháp lập trình trực tiếp thì hàm truyền bộ điều khiển đã cho biểu diễn trong miền z phải được chuyển đổi về dạng hàm truyền rời rạc:

Từ đẳng thức trên dễ dàng tính ra được giá trị của đầu ra u * (t ) của bộ điều khiển số đã cho theo các giá trị hiện tại và quá khứ của đầu vào e* (t ) cũng như các giá trị quá khứ của chính nó

Để thực hiện bộ điều khiển này yêu cầu phải lưu trữ các giá trị quá khứ của đầu vào và đầu ra của bộ điều khiển. Với bộ điều khiển đã cho yêu cầu phải có n + m giá trị cần phải lưu trữ hay nói cách khác cần phải có n + m phần tử lưu trữ.

Một phương pháp khác để triển khai lập trình trực tiếp là sử dụng cơ chế tách trực tiếp đầu vào và đầu ra của bộ điều khiển theo một biến trung gian X(z). Không mất tính tổng quát nếu chúng ta nhân cả tử và mẫu của hàm truyền bộ điều khiển số đã cho với một biến X(z). Từ đó rút ra được hàm truyền của đầu vào E(z) theo X(z) và hàm truyền của đầu ra U(z) theo X(z). Phương pháp này thực hiện như sau:

Theo phương pháp này yêu cầu số phần tử lưu trữ chính bằng giá trị n, bằng bậc của đa thức mẫu số trong hàm truyền bộ điều khiển số đã cho. Từ 2 đẳng thức trên ta cũng dễ dàng xây dựng được giản đồ trạng thái mô tả hàm truyền của bộ điều khiển số (giả thiết m = n = 3 ).

Hình 10.2: Giản đồ trạng thái của hệ thống số

  • Triển khai lập trình số ghép tầng

Cách triển khai này yêu cầu chuyển đổi bộ điều khiển về dạng tích của các hàm truyền đơn giản để có thể dễ dàng thực hiện bằng các chương trình đơn giản. Hay nói cách khác bộ điều khiển số đã cho là kết quả ghép tầng của nhiều bộ điều khiển nhỏ.

  • Triển khai lập trình số song song

Bộ điều khiển đã cho sẽ được tách ra thành tổng của các bộ điều khiển đơn giản và có thể thực hiện lập trình song song cho các bộ điều khiển đó.

một số phương pháp phát triển phần mềm nhúng

Trong quá trình phát triển, phần mềm cần phải được thử nghiệm với đối tượng điều khiển. Tuỳ thuộc vào từng môi trường phát triển chúng ta có thể tiến hành theo một số các phương pháp sau.

  • Mô hình Offline

Trong hệ thống phát triển này nền phần cứng nhúng đích được mô phỏng bằng mô hình chạy trên PC và đối tượng điều khiển cũng là mô hình mô phỏng chạy trên PC. Vì vậy quá trình phát triển thực chất là quá trình chạy mô phỏng hệ thống được thực hiện hoàn toàn trên PC. Với hệ thống này không thể thử nghiệm cho các sự kiện đáp ứng thời gian thực vì thời gian của mô phỏng khác với thời gian diễn biến thực của hệ thống.

  • Hệ thống phát triển (Software in the loop)

Hệ thống này mô phỏng nền phần cứng thực trên PC cho đáp ứng hành vi giống như với vi mạch cứng thực và mô hình đối tượng được mô hình thực thi trên PC. Loại hệ thống này cũng tương tự như hệ thống mô phỏng offline tuy nhiên có ưu điểm hơn vì khả năng mô phỏng hành vi và đáp ứng của vi mạch nhúng chính xác hơn và trung thực hơn. Và cũng có một nhược điểm là không thử nghiệm được bài toán thời gian thực.

  • Mô phỏng thời gian thực

Hệ thống này sử dụng nền phần cứng nhúng đích thực nhưng đối tượng thì chỉ là mô hình thời gian thực không phải đối tượng thực. Ưu điểm là khá mềm dẻo và thay đổi cấu hình đơn giản trong quá trình phát triển để thử nghiệm với các hành vi khác nhau của đối tượng. Rút ngắt và đơn giản hóa công việc xây dựng đối tượng.

  • Mô hình phát triển thực

Hệ thống này sử dụng nền phần cứng nhúng đích thực với đối tượng thực. Tuy nhiên có sự hỗ trợ của công cụ phát triển để có thể cài đặt và thử nghiệm trực tiếp trên nền phần cứng thực. Đây là một dạng mô hình cho kết quả trung thực và chính xác nhất trong các dạng hệ thống phát triển nêu trên. Tuy nhiên các nền phần cứng này thường được phát triển và hỗ trợ bởi các nhà cung cấp để có thể tương thích với công cụ phần mềm kèm theo.