tính tải lượng ô nhiễm từ các nguồn

KỸ THUẬT XỬ LÝ Ơ NHIỄM KHƠNG KHÍ - M THANH

TÍNH TẢI LƯỢNG Ô NHIỄM TỪ CÁC NGUỒN

Việc tính tải lượng ô nhiễm từ các nguồn trong sản xuất rất khó khăn vì cc loại nguồn rất đa dạng và phụ thuộc vào rất nhiều yếu tố khách quan như loại máy, công suất sử dụng…

TÍNH TẢI LƯỢNG CHẤT Ô NHIỄM TỪ LỊ ĐỐT NHIÊN LIỆU

Nhiên liệu như : than đá, dầu DO, FO, gaz LPG…là một hỗn hợp cc chất cc bon; nitơ; hy-drô; ô-xi; lưu huỳnh nước và phần không cháy (tro). Có thể tính lượng sản phẩm cháy của nhiên liệu bằng lí thuyết khi biết thnh phần cc chất trong nhin liệu:

Cp – hàm lượng các bon tham gia vào sự cháy trong nhiên liệu.

Hp – hàm lượng hydrô tham gia vào sự cháy trong nhiên liệu.

Np – hàm lượng Nitơ trong nhiên liệu.

Op – hàm lượng ôxi trong nhin liệu.

Sp – hàm lượng lưu huỳnh tham gia vào sự cháy trong nhiên liệu.

Ap – hàm lượng tro trong nhiên liệu.

Wp – hàm lượng nước trong nhiên liệu.

Khi chy trong khơng khí sẽ xảy ra cc phản ứng hĩa học sau:

C + O2 = CO2 + 94,3 kcal.

C + ½ O2 = CO + 26,1 kcal.

2H2 + O2 = 2H2O

S + O2 = SO2

N2 + O2 = NO2

Từ các phản ứng ta thấy: Mỗi mol khí (hay phân tử gam) ôxi tham gia vao phản ứng với một mol N2 ; S ; C.. tạo ra một mol khí cháy (hay với 2 mol hydro tạo ra 2 mol hơi nước). Ở điều kiện tiêu chuẩn, mỗi mol khí bất kỳ đều có thể tích là 22,4 lít. Nếu xem rằng phản ứng cháy nhiên liệu là hoàn toàn (oxi vừa đủ để cháy hết nhiên liệu) ta có thể tính được thể tích sản phẩm cháy khi đốt 1 kg nhiên liệu. Lương không khí khô lý thuyết để đốt hon tồn 1 kg nhin liệu tính theo phản ứng hóa học như sau:

208 – lượng ôxi (lít) trong 1 m3 không khí ở điệu kiện tiêu chuẩn (O2 chiếm 20,8 % thể tích).

22,4 – thể tích 1 mol khí ở điều kiện tiêu chuẩn.

Lượng khí cháy sinh ra ở điều kiện tiêu chuẩn

Lượng nitơ và khí khác trong không khí cấp vào:

Vn = Vkk x 0,792 (m3/kgNL).

Vkhoi = Vspc + Vn + (k-1)Vkk

k – Hệ số thừa không khí của buồng đốt. k = 1,05 ÷ 1,3. sau đây là bảng thông kê hệ số thừa không khí cho các loại buồng đốt.

Cĩ thể tính thể tích sản phẩm chy theo cơng thức sau:

Vspc = [8,865Cp + 32,0 Hp + 0,8 Np + 0,878Sp + 1,24Wp-2,63(Op-Sp)] x 10-2 (m3/kgNL).

(Trần ngọc Chấn)

Có thể tham khảo lượng khí khói tỏa ra khi đốt một vài loại nhiên liệu thông thường trong bảng sau:

Nồng độ SO2 sinh ra trong khí chy cĩ thể tính theo lý thuyết:

Với các chất gây ô nhiễm khác, nồng độ của chúng thay đổi tùy theo chế độ cháy, loại nhiên liệu… nên không thể tính được bằng lý thuyết. Phải tính thải lượng của chúng theo giá trị trung bình thống k (hệ số pht thải).

5.1.1.2. TÍNH LƯỢNG KHÍ RỊ RỈ VO KHƠNG KHÍ TỪ BỒN CHỨA, ĐƯỜNG ỐNG CÓ ÁP

Trong thực tế sản xuất, rất thường gặp các thiết bị, đường ống chứa gaz, khí công nghệ cáo áp suất cao. Khí các mối nối không tốt sẽ làm rị rỉ khí gas vo khơng khí. Cơng thức để tính lượng khí gaz rị rỉ như sau :

Trong đó :

μ - Hệ số tiết lưu, phụ thuộc vào bản chất chất khí gas, mức chênh áp trong và ngoài thiết bị… Gần đúng có thể lấy μ = 0,54.

v - Tốc độ dịng khí gaz rị rỉ qua khe (m/s). Tính theo cơng thức :

g – Gia tốc trọng trường. g = 9.81.

 - Trọng lượng riêng của khí gaz. (kg/m3).

Δp – Áp suất tĩnh trong thiết bị, đường ống. (kg/m2).

ΣF – Tồng diện tích cc khe hở.

Trong trường hợp không tính được, có thể tính theo công thức sau:

Trong đó:

 - hệ số tính đến trạng thải rị rỉ tăng sau mỗi lần sửa chữa.  = 1,5 ~ 2.

m – Hệ số rị rỉ, xc định khi thử độ kín của hệ thống thiết bị. Tra bảng.

Pk – p suất lm việc bn trong thiết bị hay hệ thống. (kPa).

Vo – Tổng thể tích hệ thống thiết bị. (m3).

M – khối lượng phân tử của chất khí gaz .

T – Nhiệt độ khí gaz. (OK = 273 + OC).

Bảng tra hệ số rị rỉ m.

TẢI LƯỢNG BAY HƠI RA TỪ BỀ MẶT THOÁNG CỦA DUNG DỊCH HAY CHẤT LỎNG

CÁC CHUẨN SỐ ĐỒNG DẠNG CỦA QUÁ TRÌNH TRAO ĐỔI NHIỆT VÀ VẬT CHẤT

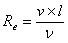
- Chuẩn số Reinol: L chuẩn số phản nh qu trình chuyển động của chất lỏng.

Trong đó: v – tốc độ chuyển động của không khí (m/s).

l – Kích thước xác định (m).

ν - Độ nhớt động học của không khí (m2/s).

- Chuẩn số phruda.

- Chuẩn số acsimet.

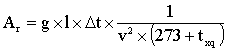
Δt – chênh lệch nhiệt độ từ điểm tính toán tới không khí xung quanh (txq OC).

- Chuẩn số gracgoph :

Cho chất lỏng bay hơi:

β - hệ số dn nỡ thể tích theo nhiệt độ khí. β = 1/ttb

ttb - Nhiệt độ trung bình của bề mặt bay hơi và khối khí. (oC).

Δt – chênh lệch nhiệt độ từ mặt bay hơi tới không khí xung quanh (oC).

ρo = o / g – Mật độ riêng của không khí xung quanh.

ρ1 = 1 / g – Mật độ riêng của chất bay hơi trên bề mặt thống.

- Chuẩn số Phrandt:

Pr = ν/a = νcpρ

Chuẩn số Phrandt khuyếch tn:

P`r = λ/D

Trong đó:

a = λ/ cpρ - Hệ số dẫn nhiệt độ. (m2/s).

λ - Hệ số dẫn nhiệt của khơng khí khơ. (W/m OC).

Cp – Nhiệt dung riêng đẳng áp của khơng khí. (kJ/kg OC).

ρ =  / g – Mật độ riêng của không khí.

D0 – Hệ số khuếch tán phân tử ở điều kiện tiêu chuẩn.

m – hằng số. (tra bảng Thiết kế thơng giĩ cơng nghiệp C3-5 trang 62 – Hồng Thị Hiền).

- Chuẩn số Nuxen nhiệt:

Chuẩn số Nuxen khuếch tn:

Với:

α - hệ số trao đổi nhiệt của dung dịch và không khí (W/m2OC).

c v n – hệ số.

G – cường độ bay hơi (g/s).

F – diện tích bay hơi (m2_).

C1 v Co – Nồng độ hơi trên bề mặt v trong khơng khí (g/m3).

b- BỐC HƠI Ở CHẾ ĐỘ KHUẾCH TÁN

Công thức tính cho nguồn có kích thước nhỏ, không khí không chuyển động trên mặt phân chia pha, tích số Pr.Gr < 1 (cá biệt có thể xuất hiện ở giá trị giới hạn Pr.Gr ≤ 40) như sau:

Trong đó:

D – hệ số khuyếch tn (m2/s).

l – kích thước xác định. (m).

P1 và Po – Áp suất riêng phần của hơi trên bề mặt ngăn pha và trong không khí (kPa).

B – p suất khí quyển (kPa).

ρ =  / g – Mật độ riêng của hơi bay vào không khí.

Hoặc theo cơng thức:

Với:

C1 v Co – Nồng độ hơi bo hồ trn bề mặt phn chia pha v nồng độ hơi trong không khí.

Nếu dung dịch đựng trong bình cĩ độ sâu từ mép tới mặt thoáng h (m) tính lượng bay hơi theo công thức:

Với:

F – diện tích mặt thống (m2).

BỐC HƠI TRONG ĐỐI LƯU TỰ NHIN

Bốc hơi trong chế độ chảy tầng:

Công thức dùng trong trường hợp giá trị 2.102 < Gr.Pr` < (Gr. Pr`)gh.

- Khi bay hơi từ bế mặt đứng: (Gr. Pr`)gh = 2,3. 108

- Khi bay hơi từ bế ngang và hơi nhẹ hơn không khí: (Gr. Pr`)gh = 7,1. 105

- Khi bay hơi từ bế ngang và hơi nặng hơn không khí: (Gr. Pr`)gh = 1,25. 109

Mh – khối lượng phân tử của hơi (B3-5 trang 62)

Mkk – Khối lượng phân tử của không khí.

Bốc hơi trong chế độ chảy rối:

Đặc trưng của chế độ này là lớp không khí trên mặt thoáng của dung dịch chảy trong chế độ rối. Khi đó Gr.Pr` > (Gr. Pr`)gh. Phương trình chuẩn số Nuxen với cc số mũ n = 1/3; C = 0,136 khi bay hơi từ mặt đứng ; c = 0,18 bay hơi từ mặt nằm ngang với hơi nhẹ hơn không khí và c = 0,09 bay hơi từ mặt nằm ngang với hơi nặng hơn không khí. Ta có công thức tính:

- Khi bay hơi từ bề mặt đứng:

- Khi bay hơi từ bề ngang và hơi nhẹ hơn không khí:

- Khi bay hơi từ bề ngang và hơi nặng hơn không khí:

BỐC HƠI TRONG CHẾ ĐỘ ĐỐI LƯU CƯỠNG BỨC

Với: v – Tốc độ chuyển động của gió trên mặt thoáng (m/s).

TỎA KHÍ DO NẠP ACQUI

Acqui dùng cho lưu trữ điện thường gặp l loại acqui chì. Trước khi dùng người ta phải nạp điện. Quá trình ny sẽ sinh ra khí Hydrơ v axit sulfuaric. Lương khí hydrô sinh ra tính gẩn đúng theo công thức:

G = 9,44 . 10-3 . E . n , g/h

Với: E – Điện dung của acqui (A.h).

N – số acqui cng nạp.

LƯỢNG BAY HƠI DUNG MÔI SƠN VÀ CHẤT SƠN

Lượng dung môi sơn bay lên từ màng sơn bề mặt vật liệu được sơn tính theo công thức:

Trong đó:

A – Lượng tiêu thụ sơn trên 1 m2 bề mặt vật liệu. (g/m2).

m – hàm lượng chất bay hơi trong sơn. (%).

F – Tổng diện tích bề mặt được sơn. (m2).

Z – Thời gian sơn khô. ( h).

G – tổng lượng sơn đ dng. (g).

a – số công nhân sơn. (người)

n – năng suất sơn trung bình. (m2/ng.ca).

TÍNH TOÁN TẢI LƯỢNG CHẤT GÂY Ô NHIỄM QUA HỆ SỐ PHÁT THẢI

Hệ số pht thải chất gây ô nhiễm là một số biểu thị tỷ lệ giữa lượng phát thải chất ô nhiễm với một đơn vị nhiên liệu tiêu hao hay một đơn vị sản lượng sản phẩm nào đó (được lấy làm thông số đặc trưng). Những số liệu này thường đước các cá nhân và cơ quan theo di lu ngy v đưa ra. Nó có tính chính xác cao hơn nếu xuất phát từ tính toán lý thuyết nhưng cũng không cao nếu chỉ từ thực tế sản xuất. Hệ số phát thải chất gây ô nhiễm thường được dùng cho công tác dự báo, thiết kế ban đầu.

Công thức tính tải lượng chất gây ô nhiễm theo hệ số phát thải như sau:

G = k . M

Với: k - Hệ số pht thải chất gy ơ nhiễm.

M – Thông số đặc trưng.

Bảng dưới đây là một số hệ số phát thải thường dùng.

Hệ số phát thải chất gây ô nhiễm của phương tiện giao thông.

Chú thích: S: hàm lượng lưu huỳnh trong dầu DO ( 500 PPM) và xăng (0,1%).

Hệ số pht thải chất gy ơ nhiễm của lị hơi nhiệt điện theo bảng sau.

Hệ số pht thi chất gy ơ nhiễm trong các phân xưởng rèn, đúc, hàn kim loại.

Toả nhiệt, ẩm, CO2 do người.