Ứng suất kế dây rung được dùng để theo dõi kiểm tra các công trình xây dựng như đập, cầu, đường hầm ...
Cấu tạo của ứng suất kế dây rung gồm một dây thép căng giữa hai giá gắn vào cấu trúc cần nghiên cứu biến dạng. Khi có biến dạng, sự căng cơ học của dây kéo theo sự thay đổi tần số dao động N của dây, bằng cách đo tần số dao động của dây có thể biết được độ lớn của biến dạng.
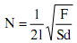
Tần số dao động của sợi dây xác định theo công thức:

l - khoảng cách giữa hai điểm căng dây.
F - lực tác dụng.
S - tiết diện dây.
d - khối lượng riêng của vật liệu chế tạodây.
Dưới tác dụng của lực F, độ dài dây biến thiên một lượng Δl xác định từ biểu thức:

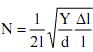
Do đó tần số dao động của dây:
Suy ra:

Giả sử Δl0 là độ kéo dài ban đầu và N0 là tần số tương ứng khi chưa có biến dạng:
Khi có biến dạng, độ kéo dài tổng cộng của dây là Δl1 và tần số là N1, ta có:
Vì độ kéo dài do biến dạng Δl = Δl1 - Δl0, suy ra:

Đo N0 và N1 ta có thể tính được biến dạng của cấu trúc.