Quản trị VCĐ là 1 nội dung quan trọng trong quản lý vốn kinh doanh của các doanh nghiệp
Khai thác và tạo lập nguồn VCĐ của DN.
Khai thác và tạo lập nguồn VCĐ đáp ứng nhu cầu đầu tư TSCĐ là khâu đầu tiên trong quản trị VCĐ của DN. Để định hướng cho việc khai thác và tạo lập nguồn VCĐ đáp ứng yêu cầu đầu tư các DN phải xác định được nhu cầu vốn đầu tư vào TSCĐ trong những năm trước mắt và lâu dài. Căn cứ vào các dự án đầu tư TSCĐ đã được thẩm định để lựa chọn và khai thác các nguồn vốn đầu tư phù hợp.
Trong điều kiện nền kinh tế thị trường, DN có thể khai thác nguồn vốn đầu tư vào TSCĐ từ nhiều nguồn khác nhau như từ lợi nhuận để lại tái đầu tư, từ nguồn vốn liên doanh liên kết, từ ngân sách Nhà nước, tài trợ, từ vốn vay dài hạn ngân hàng.... Mỗi nguồn vốn trên có ưu điểm, nhược điểm riêng và điều kiện thực hiện khác nhau, chi phí sử dụng khác nhau. Vì thế trong khai thác, tạo lập các nguồn VCĐ, các DN vừa phải chú ý đa dạng hoá các nguồn tài trợ, cân nhắc kỹ các ưu nhược điểm từng nguồn vốn để lựa chọn cơ cấu nguồn tài trợ VCĐ hợp lý và có lợi nhất cho DN. Những định hướng cơ bản cho việc khai thác, tạo lập các nguồn VCĐ cho các DN là phải đảm bảo khả năng tự chủ của DN trong SXKD, hạn chế và phân tán rủi ro, phát huy tối đa những ưu điểm của các nguồn vốn được huy động. Điều này đòi hỏi không chỉ ở sự năng động, nhạy bén của từng DN mà còn ở việc đổi mới các chính sách, cơ chế tài chính của Nhà nước ở tầm vĩ mô để tạo điều kiện cho DN có thể khai thác, huy động các nguồn vốn cần thiết.
Để dự báo các nguồn vốn đầu tư vào TSCĐ các DN có thể dựa vào các căn cứ sau đây :
- Quy mô và khả năng sử dụng quỹ đầu tư phát triển hoặc quỹ khấu hao đầu tư mua sắm TSCĐ hiện tại và các năm tiếp theo.
Khả năng ký kết các hợp đồng liên doanh với các DN khác để huy động nguồn vốn góp liên doanh.
Khả năng huy động vốn vay dài hạn từ các ngân hàng thương mại hoặc phát hành trái phiếu DN trên thị trường vốn.
Các dự án đầu tư TSCĐ tiền khả thi và khả thi được cấp thẩm quyền phê duyệt.
Bảo toàn và phát triển VCĐ
Bảo toàn vốn sản xuất nói chung, VCĐ nói riêng là nghĩa vụ của DN, để bảo vệ lợi ích của Nhà nước về vốn đã đầu tư, là điều kiện để DN tồn tại và phát triển , tăng thu nhập cho người lao động và làm nghĩa vụ với ngân sách Nhà nước.
Thời điểm bảo toàn VCĐ trong các DN thường được tiến hành vào cuối kỳ kế hoạch. Căn cứ để tính toán bảo toàn vốn là thông báo của Nhà nước ở thời điểm tính toán về tỉ lệ % trượt giá của đồng Việt Nam và tỷ giá hối đoái của đồng ngoại tệ. Nội dung của bảo toàn VCĐ bao gồm 2 mặt hiện vật và giá trị.
- Bảo toàn VCĐ về mặt hiện vật là phải duy trì thường xuyên năng lực sản xuất ban đầu của TSCĐ. Điều đó có nghĩa là trong quá trình sử dụng DN phải theo dõi quản lý chặt chẽ không để mất mát, không để hư hỏng trước thời hạn quy định.
- Bảo toàn VCĐ về mặt giá trị là phải duy trì được sức mua của VCĐ ở mọi thời điểm, so với thời điểm bỏ vốn đầu tư ban đầu kể cả những biến động về giá cả, tỷ giá hối đoái, ảnh hưởng của tiến bộ khoa học kỹ thuật. Ngoài trách nhiệm bảo toàn vốn các DN còn có trách nhiệm phát triển VCĐ trên cơ sở quỹ đầu tư phát triển sản xuất trích từ lợi nhuận để đầu tư xây dựng mua sắm, đổi mới nâng cấp TSCĐ.
Để bảo toàn và phát triển được VCĐ các DN cần phải phân tích tìm ra các tổn thất VCĐ : có các biện pháp bảo toàn VCĐ như sau :
- Thực hiện đúng chế độ quản lý, sử dụng vốn, tài sản theo các quy định của Nhà nước.
- Chủ động, phòng ngừa rủi ro trong kinh doanh bằng cách mua bảo hiểm tài sản thuộc quyền sở hữu của doanh nghiệp như lập quỹ dự phòng giảm giá.
- Phải đánh giá giá trị của TSCĐ, qui mô VCĐ phải bảo toàn, khi cần thiết phải điều chỉnh kịp thời giá trị của TSCĐ. Để đánh giá đúng giá trị của TSCĐ thường có 3 phương pháp chủ yếu sau:
- Đánh giá TSCĐ theo nguyên giá. Theo cách này thì tuỳ theo từng loại TSCĐ hữu hình và vô hình để thực hiện.
- Xác định nguyên giá theo quy định hiện hành.
- + Đánh giá TSCĐ theo giá trị khôi phục (đánh giá lại) là giá trị thực tế của TSCĐ trên thị trường tại thời điểm đánh giá. Do tiến bộ khoa học kỹ thuật giá đánh lại TSCĐ thường thấp hơn giá trị ban đầu. Tuy nhiên trong trường hợp có biến động giá cả, tỷ giá hối đoái thì giá đánh lại có thể cao hơn giá trị ban đầu của TSCĐ. Tuỷ theo từng trường hợp cụ thể mà doanh nghiệp có thể điều chỉnh mức khấu hao theo một hệ số thích hợp.
- + Đánh giá TSCĐ theo giá trị còn lại: cách đánh giá này thường chỉ áp dụng trong những trường hợp doanh nghiệp được cấp, được nhận TSCĐ từ doanh nghiệp khác chuyển đến.
Ngoài các biện pháp cơ bản để bảo toàn VCĐ như trên. Các doanh nghiệp nhà nước cần thực hiện tốt quy chế giao vốn và trách nhiệm bảo toàn vốn.
Trên đây là những biện pháp chủ yếu, bảo toàn phát triển vốn sản xuất nói chung và VCĐ nói riêng các doanh nghiệp không thể tách rời việc thường xuyên kiểm tra , đánh giá hiệu quả việc sử dụng VCĐ trong từng thời kỳ.
Các phương pháp khấu hao trong doanh nghiệp
Về nguyên tắc khấu hao phải phù hợp với sự hao mòn thực tế của TSCĐ. Nếu khấu hao thấp hơn mức khấu hao thực tế thì không đảm bảo thu hồi đủ vốn khi hết thời gian sử dụng, ngược lại nếu khấu hao cao hơn mức khấu hao thực tế thì sẽ làm tăng mức chi phí kinh doanh giả tạo và làm giảm lợi nhuận của doanh nghiệp. Vì vậy các doanh nghiệp phải lựa chọn phương pháp khấu hao phù hợp với chiến lược khấu hao trong doanh nghiệp.
- Phương pháp khấu hao bình quân
Đây là phương pháp khấu hao đơn giản nhất được sử dụng khá phổ biến để khấu hao trong doanh nghiệp theo phương pháp này tỷ lệ khấu hao và mức khấu hao được xác định theo mức không đổi trong suốt thời gian sử dụng TSCĐ.
- Phương pháp khấu hao giảm dần.
Đây là phương pháp đưa lại số khấu hao rất lớn trong những năm đầu của thời gian sử dụng TSCĐ và càng về những năm sau mức khấu hao càng giảm dần. Theo phương pháp này bao gồm phương pháp khấu hao theo số dư giảm dần và phương pháp khấu hao theo tổng số thứ tự năm
- Phương pháp khấu hao theo số dư giảm dần.
Đây là phương pháp khấu hao gia tốc nhưng mức khấu hao hàng năm sẽ khác nhau theo chiều hướng giảm dần và được xác định như sau:
công thức: MKHi = GCLi x TKH
Trong đó: MKHi: Mức khấu hao ở năm thứ i
GCLi: Giá trị còn lại của TSCĐ ở đầu năm thứ i
TKH: Tỷ lệ khấu hao không đổi
Công thức tính:
TKH = TKH x Hđc
TKH: Tỷ lệ khấu hao bình quân ban đầu
Hđc: Hệ số điều chỉnh
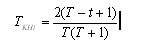
- Phương pháp khấu hao theo tổng số thứ tự năm.
Công thức:
MKHi = NG x TKHi.

Trong đó:
MKhi: Mức khấu hao hàng năm.
NG: Nguyên giá của TSCĐ.
TKHi: Tỷ lệ khấu hao theo năm sử dụng .
T: Thời gian dự kiến sử dụng TSCĐ
T: Thứ tự năm cần tính tỷ lệ khấu hao.
- Phương pháp khấu hao kết hợp:
Để khắc phục nhược điểm của 2 phương pháp để tính khấu hao, thực chất là trong những năm đầu sử dụng TSCĐ doanh nghiệp dùng phương pháp khấu hao giảm dần những năm về cuối thì dùng phương pháp khấu hao bình quân.
Mức khấu hao bình quân trong những năm cuối thời gian sử dụng sẽ được tính bằng cách:
Phân cấp quản lý VCĐ
Theo quy chế hiện hành của nước ta thực hiện đối với các doanh nghiệp Nhà nước, các doanh nghiệp Nhà nước được các quyền chủ động sau đây trong việc sử dụng VCĐ.
- Doanh nghiệp được chủ động trong việc sử dụng VCĐ và quĩ để phục vụ cho kinh doanh theo nguyên tắc hiệu quả nhưng phải bảo toàn và phát triển VCĐ.
- Doanh nghiệp được quyền thay đổi cơ cấu tài sản và các loại vốn thích hợp với đặc tính SXKD của mình.
- Doanh nghiệp được quyền cho các tổ chức cá nhân trong nước thuê hoạt động tài sản nhằm nâng cao hiệu suất sử dụng TSCĐ và tăng thu nhập cho doanh nghiệp, nhưng doanh nghiệp phải theo dõi và thu hồi VCĐ cho đến khi hết thời hạn sử dụng.
- Doanh nghiệp được quyền đem quyền quản lý và sử dụng vốn của mình để cầm cố, thế chấp, vay vốn hoặc bảo lãnh tại tổ chức tín dụng theo yêu cầu của pháp luật hiện hành.
- Doanh nghiệp được quyền nhượng bán các tài sản không cần dùng hoặc tài sản lạc hậu về mặt kỹ thuật để thu hồi và được thanh lý những tài sản đã hết năng lực sản xuất hoặc hao monf vô hình loại 3 nhưng trước khi thanh lý phải báo với các cơ quan tài chính cấp trên biết để quản lý.
- Doanh nghiệp được sử dụng vốn và tài sản, quyền sử dụng đất để đầu tư ra ngoài doanh nghiệp theo quy định của pháp luật hiện hành.
Rủi ro trong việc sử dụng TSCĐ và VCĐ.
Để hạn chế tổn thất về TSCĐ và VCĐ do nhiều nguyên nhân khác nhau gây ra. Doanh nghiệp phải dùng các biện pháp sau đây:
- Phải thực hiện mua bảo hiểm tài sản đầy đủ.
- Lập quỹ dự phòng tài chính, trích trước chi phí dự phòng và giảm giá các khoản đầu tư tài chính.
Thực hiện chế độ bảo dưỡng sửa chữa lớn TSCĐ.
Doanh nghiệp cần cân nhắc tính toán hiệu quả kinh tế của sửa chữa lớn và đầu tư mới TSCĐ.
Nếu sức sản xuất của TSCĐ bị giảm sút quá nhiều ảnh hưởng đến quá trình hoạt động của TSCĐ thì tốt nhất doanh nghiệp phải thực hiện đầu tư mới. Tuy nhiên việc đầu tư mới đòi hỏi phải có 1 nguồn vốn đầu tư mới khá lớn vì vậy doanh nghiệp cần phân tích kĩ chi phí sản xuất và đầu tư mới để đưa ra quyết định hợp lý,