Phân tích các thành phần của dãy số thời gian

Dãy số theo tháng hoặc quý:

Các thành phần của dãy số thời gian gồm:

  • Xu thế biểu diễn dạng tuyến tính.
  • Biến động thời vụ.
  • Biến động ngẫu nhiên
    có độ lệch bình quân = 0.

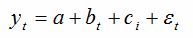
Sự kết hợp của 3 thành phần được thể hiện như sau:

Với

là giá trị thực tế tại 1 quan sát nào đó.

Trong việc phân tích thành phần của dãy số thời gian người ta thường quan tâm tới 2 thành phần là : xu thế và thời vụ, còn thành phần ngẫu nhiên không có tính quy luật nên rất khó phân tích do vậy người ta thường sử dụng mô hình:

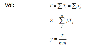
Kết cấu của bảng Buys_Ballot (BB) và cách xác định a,b,

như sau:

Từ bảng trên có thể tính các tham số của phương trình và hệ số thời vụ sau: