Thống kê mô tả
Mô tả dữ liệu thống kê(Descriptive Statistic)
Có bốn tính chất mô tả phân phối xác suất của một biến ngẫu nhiên như sau:
Xu hướng trung tâm hay “điểm giữa” của phân phối.
Mức độ phân tán của dữ liệu quanh vị trí “điểm giữa”.
Độ trôi(skewness) của phân phối.
Độ nhọn(kurtosis) của phân phối.
Mối quan hệ thống kê giữa hai biến số được mô tả bằng hệ số tương quan.
Xu hướng trung tâm của dữ liệu
Trung bình tổng thể (giá trị kỳ vọng) x = E[X]
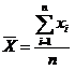
Trung bình mẫu
Trung vị của tổng thể : X là một biến ngẫu nhiên liên tục, Md là trung vị của tổng thể khi P(X<Md) = 0,5.
Trung vị mẫu : Nếu số phân tử của mẫu là lẻ thì trung vị là số “ở giữa” của mẫu sắp theo thứ tự tăng dần hoặc giảm dần.
Nếu số phần tử của mẫu chẳn thì trung vị là trung bình cộng của hai số “ở giữa”.
Trong kinh tế lượng hầu như chúng ta chỉ quan tâm đến trung bình mà không tính toán trên trung vị.
Độ phân tán của dữ liệu
Phương sai
Phương sai của tổng thể : 
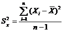
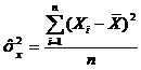
Phương sai mẫu: 
hoặc 
Độ lệch chuẩn
Độ lệch chuẩn tổng thể : 
Độ lệch chuẩn mẫu : 
hoặc : 
Độ trôi S
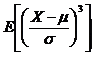
Độ trôi tổng thể :
Độ trôi mẫu :
Đối với phân phối chuẩn độ trôi bằng 0.
Độ nhọn K
Độ nhọn của tổng thể 
Độ nhọn mẫu
Đối với phân phối chuẩn độ nhọn bằng 3. Một phân phối có K lớn hơn 3 là là nhọn, nhỏ hơn 3 là phẳng.
Quan hệ giữa hai biến-Hệ số tương quan
Hệ số tương quan tổng thể
Hệ số tương quan mẫu
với 