Tính công suất và chọn động cơ điện
Việc chọn đúng loại động cơ và tính đúng công suất của động cơ điện sẽ bảo đảm độ tin cậy và tính kinh tế của truyền động điện. Động cơ có công suất không phù hợp sẽ gây lãng phí hoặc sẽ chóng hỏng.
Phân loại các chế độ làm việc
Chế độ làm việc của động cơ điện gồm: Dài hạn, ngắn hạn, ngắn hạn lặp lại.
Chế độ làm việc dài hạn:
Là chế độ động cơ làm việc liên tục trong thời gian dài, nhiệt độ tất cả các phần tử kể cả phần tử truyền động đạt đến nhiệt độ xác lập. Đồ thị vẽ trên hình 5-2.
Chế độ làm việc ngắn hạn:
Là chế độ động cơ chỉ làm việc trong thời gian ngắn, nhiệt độ của các phần tử kể cả phần tử truyền động chưa đạt đến nhiệt độ xác lập, thời gian nghỉ tương đối dài nên nhiệt độ động cơ giảm đến nhiệt độ của môi trường xung quanh. Đồ thị tải vẽ trên hình 5-3.
Chế độ làm việc ngắn hạn lặp lại:
Là chế độ động cơ làm việc - nghỉ - làm việc v.v... với tần số không đổi. Trong thời gian làm việc, nhiệt độ động cơ chưa đạt đến nhiệt độ xác lập, đồng thời sau thời gian nghỉ nhiệt độ chưa giảm đến nhiệt độ môi trường xung quanh, thời gian làm việc (tlv) và nghỉ (tn) của một chu kỳ gọi là chu trình (tct). Thời gian chu trình tct không vượt quá 10 phút. Đồ thị phụ tải trên hình 5-4 và đại lượng thời gian đóng điện tương đối TĐ%:
Tính công suất và chọn động cơ làm việc ở chế độ dài hạn
Động cơ làm việc ở chế độ dài hạn khi phụ tải không đổi có thể dựa vào lý lịch máy để chọn sao cho công suất Pđm của động cơ lớn hơn hay bằng công suất P của tải (Pđm ≥ P). Đối với trường hợp chọn công suất động cơ làm việc với tải không đổi, ta chỉ cần kiểm tra theo điều kiện mở máy :
M mở ≥ M cản ban đầu .
Nếu động cơ làm việc với phụ tải thay đổi ta có 3 phương pháp sau:
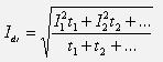
Phương pháp dòng điện đẳng trị
có thể xác định dòng điện đẳng trị tương đương về nhiệt của động cơ.
Chọn động cơ có dòng điện định mức Iđm≥ Iđt.
Phương pháp mômen đẳng trị
Phương pháp này không sử dụng với các động cơ có tải không biến đổi như động cơ điện một chiều kích từ nối tiếp, động cơ điều chỉnh tốc độ bằng cách thay đổi từ thông... chọn động cơ có công suất Pđm ≥ Pđt
Phương pháp công suất đẳng trị
Chọn động cơ có công suất Pđm ≥ Pđt. Nếu động cơ có khả năng quá tải thì mômen cho phép của động cơ phải lớn hơn mômen lớn nhất của phụ tải : Mcp ≥ Mmaxpt.
Tính công suất và chọn động cơ làm việc ở chế độ ngắn hạn
Để chế tạo riêng loại động cơ chuyên làm việc ở chế độ ngắn hạn người ta chọn động cơ chuyên làm việc ngắn hạn có Pđm > Pnh. Tuy nhiên để tận dụng hết khả năng chịu phát nóng của động cơ, ta cho động cơ làm việc quá tải, nghĩa là chọn:
Pđm < Pnh và 
Trong đó K qt là hệ số quá tải, với động cơ một chiều K qt = 2÷2,5 ; động cơ không đồng bộ rôto lồng sóc K qt = 1,7÷2,2 ; động cơ không đồng bộ rôto dây quấn K qt = 2÷2,5.
Tính công suất và chọn động cơ làm việc ở chế độ ngắn hạn lặp lại
Nhìn vào biểu thức xác định TD%, ta thấy TD% tăng khi thời gian nghỉ tn giảm nghĩa là động cơ làm việc nặng nhọc hơn, tính đổi công suất Pphll của động cơ ứng với hệ số làm việc TD% này sang hệ số làm việc TD% khác theo biểu thức :
Chọn loại động cơ
Khi chọn các máy động cơ điện cần thỏa mãn yêu cầu sau: - Giá thành - Có điều khiển đơn giản- Trọng lượng, kích thước nhỏ- Độ tin cậy cao trong vận hành - Có cấu trúc phù hợp với môi trường- động cơ có điện áp và tần số định mức trùng với điện áp và tần số của lưới điện.VD: động cơ điện không đồng bộ rôto lồng sóc.