Mở đầu
Nhiều bài toán quy hoạch tuyến tính có thể quy về bài toán làm cực tiểu phí tổn vận chuyển hàng trong một mạng (gồm các nút và các cung đường) sao cho đảm bảo được các nhu cầu ở một số nút sau khi biết nguồn cung cấp tại một số nút khác. Các bài toán như vậy được gọi là các bài toán dòng trên mạng hay bài toán chuyển vận (TransShipment Problem). Đây là lớp bài toán quan trọng nhất và hay gặp nhất trong quy hoạch tuyến tính. Lớp này bao gồm các bài toán quen thuộc trong thực tế như :
- Bài toán vận tải
- Bài toán mạng điện
- Bài toán mạng giao thông
- Bài toán quản lý
- Bài toán phân bổ vật tư
- Bài toán bổ nhiệm
- Bài toán kế hoạch tài chính
- Bài toán đường ngắn nhất
- Bài toán dòng lớn nhất
- .................
Vì là một bài toán quy hoạch tuyến tính nên các bài toán dòng trên mạng có thể giải được bằng bất kỳ thuật toán nào giải được bài toán quy hoạch tuyến tính, chẳng hạn bằng thuật toán đơn hình như đã biết . Tuy nhiên, nếu tận dụng những cấu trúc đặc biệt của các bài toán dòng trên mạng sẽ làm cho phương pháp đơn hình đơn giản hơn và được thực hiện nhanh hơn.
Phát biểu bài toán dòng trên mạng
Mạng là một đồ thị có hướng ký hiệu G=(N,A), N là tập các nút, A là tập các cung, cùng một số thông tin về số lượng bổ sung như sau :
. bi (i∈N) biểu thị nguồn từ ngoài vào nút i, gọi tắt là nguồn
. uij biểu thị tải năng của cung (i,j)∈A
. cij biểu thị cước phí cho một đơn vị của dòng trên cung (i,j)∈A
. xij biểu thị lượng vận chuyển của dòng trên cung (i,j)∈A
Giá trị tuyệt đối |bi| được gọi là nhu cầu của nút i. Nếu bi>0 thì nút i được gọi là điểm nguồn, nếu bi<0 thì nút i được gọi là điểm hút. Một cách hoàn toàn tự nhiên người ta đặt hai điều kiện sau đây :
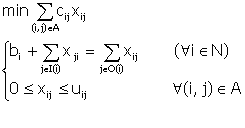
a- Tổng lượng trên dòng vào nút i bất kỳ phải bằng tổng lượng trên dòng ra khỏi nút i (luật bảo toàn dòng). Như vậy :

Trong đó :
I(i)= {nút j / cung (j,i)∈A} : những nút có cung nối đến nút i
O(i)= {nút j / cung (i,j)∈A} : những nút có cung nối từ nút i đến nó
b- Dòng trên cung là không âm và không vượt quá tải năng của cung. Như vậy :

Mọi vectơ x có các thành phần xij , (i,j)∈A, được gọi là một dòng. Dòng x thoả điều kiện (1) và (2) được gọi là dòng chấp nhận được. Lấy tổng của (1) theo các nút i ta được :

Điều này có nghĩa là tổng dòng từ bên ngoài vào mạng phải bằng tổng dòng từ mạng ra ngoài. Nếu điều này điều này không thoả thì bài toán là không chấp nhận được.
Mục tiêu của bài toán là làm cực tiểu cước phí dòng trên mạng, tức là :
trong đó cực tiểu lấy trên mọi dòng chấp nhận được. Như vậy ta nhận được một bài toán quy hoạch tuyến tính như sau :