Khi thực hiện thuật toán đơn hình trường hợp bất thường có thể xảy ra là khi xác định biến ra thì tồn tại tỷ số, tức là tồn tại bi=0, hay không có tỷ số nào dương thật sự. Người ta xem đây là trường hợp suy biến. Khi một bảng đơn hình rơi vào tình trạng suy biến thì có thể gây khó khăn mà cũng có thể không khi ta tiếp tục thực hiện thuật toán đơn hình.
Các ví dụ về quy hoạch tuyến tính suy biến
Ví dụ 1 : xét quy hoạch tuyến tính :
Đây là trường hợp suy biến, biến vào là x2, nó được tăng lên đến mức vẫn thỏa những điều kiện về dấu của các biến trong cơ sở x3, x3, x5 . Đó là :
Như vậy x2 có thể lớn tùy ý nên hàm mục tiêu không bị giới nội. Vậy bài toán không có phương án tối ưu. Trường hợp này ở bảng đơn hình không có tỷ số nào dương thật sự để xác định biến ra.
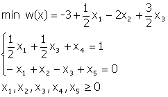
Ví dụ 2 : xét quy hoạch tuyến tính :
Đây là bảng đơn hình tối ưu.
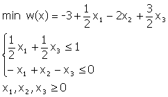
Ví dụ 3 : xét quy hoạch tuyến tính :
Đưa bài toán về dạng chuẩn :
Đây là bảng đơn hình tối ưu
Ví dụ 4 : xét quy hoạch tuyến tính
với ma trận hệ số
có chứa ma trận đơn vị . Áp dụng phương pháp đơn hình cải tiến
x2 vào , x6 ra
x6 vào , x4 ra
Bảng đơn hình hiện thời giống với bảng đơn hình xuất phát : đây là hiện tượng xoay vòng .
Xử lý trường hợp suy biến
Theo các ví dụ trên, trong trường hợp quy hoạch tuyến tính suy biến thì sau một số lần lặp có thể phương án nhận được vẫn như cũ mà không có sự thay đổi nào, có thể phương án nhận được tốt hơn, có thể phương án nhận được là một phương án đã nhận trước đó rồi và từ đó cứ xoay vòng mãi. Do đó nếu không có biện pháp phòng ngừa thì thuật toán đơn hình sẽ có thể kéo dài vô tận.
Khi thực hiện thuật toán đơn hình thì hiện tượng suy biến xảy ra khi có sự tình cờ khử lẫn nhau làm cho tồn tại nào đó bằng 0. Trong trường hợp này có thể có nhiều biến thỏa điều kiện của biến ra. Gặp trường hợp này cần phải lựa chọn biến ra sao cho tránh được hiện tượng xoay vòng.
Người ta thường dùng phương pháp nhiễu loạn, phương pháp từ vựng để tránh sự tình cờ khử lẫn nhau này. Trong thực tiển tính toán người ta đã đề ra một quy tắc xử lý khá đơn giản, gọi là quy tắc Bland, khi dùng giải thuật đơn hình giải các quy hoạch tuyến tính suy biến, đó là :
Với xk là biến vào , biến ra xr được chọn là biến có chỉ số nhỏ nhất thỏa điều kiện chọn biến ra :
Áp dụng quy tắc Bland ta thấy :
Biến ra có thể là x1 hay x2 . Chọn x1

Biến ra có thể là x4 hay x5 . Chọn x4
Biến ra là x5
Biến ra là x3
Đến đây không còn hiện tượng suy biến.
Biến vào là x7
CÂU HỎI CHƯƠNG 2
1- Trình bày cơ sở lý thuyết của thuật toán đơn hình cơ bản.
2- Định nghĩa quy hoạch tuyến chuẩn.
3- Trình bày các bước lập bảng đơn hình theo phép toán trên dòng .
4- Cải biên một quy hoạch tuyến tính tổng quát như thế nào ? . Cách giải quy hoạch tuyến tính cải biên và quy hoạch tuyến tính gốc.
BÀI TẬP CHƯƠNG 2
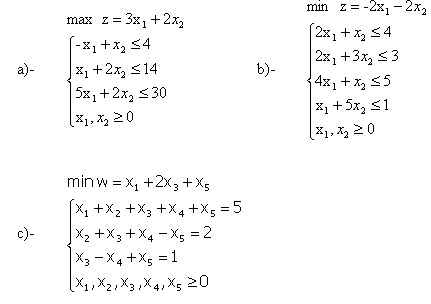
1- Tìm phương án tối ưu của bài toán sau đây bằng phương pháp đơn hình cơ bản
2- Tìm phương án tối ưu của bài toán sau bằng phương pháp đơn hình cải tiến
a) max z = 5x1 + 3x2
2x1 + 2x2 ≤ 80
x1 ≤ 30
x1, x2 ≥ 0
b) max z = x1 + 2x2
2x1 + 3x2 ≤ 7
x1 - x2 ≤ 1
x1 ≥ 0, x2 ≥ 0
c) max z = 5x1 + 3x2 + x3
2x1 + 3x2 - x3 ≤ 4
3x1 - x2 + 2x3 ≤ 2
x1 + x2 + 3x3 ≤ 5
x1 ≥ 0, x2 ≥ 0, x3 ≥ 0
3- Tìm phương án tối ưu của các bài toán sau bằng phương pháp biến giả cải biên.
a) max z = 3x1 - x2
2x1 + x2 ≤ 100
x1 ≥ 10
x2 ≥ 0
b) min w = 3x1 + x2
x1 + x2 ≥ 3
2x1 ≥ 5
x1, x2 ≥ 0
c) max z = 3x1 + x2 - 3x3
x1 + 2x2 - x3 = 2
-10x2 + 5x3 = 5
-3x2 + 2 x3 = 4
xi ≥ 0, ∀i = 1→3
d