Giới thiệu bài toán quy hoạch tuyến tính

Có thể tạm định nghĩa quy hoạch tuyến tính là lĩnh vực toán học nghiên cứu các bài toán tối ưu mà hàm mục tiêu (vấn đề được quan tâm) và các ràng buộc (điều kiện của bài toán) đều là hàm và các phương trình hoặc bất phương trình tuyến tính. đây chỉ là một định nghĩa mơ hồ, bài toán quy hoạch tuyến tính sẽ được xác định rừ ràng hơn thông qua các ví dụ .

các bước nghiên cứu và ứng dụng một bài toán quy hoạch tuyến tính điển hình là như sau :

a- xác định vấn đề cần giải quyết, thu thập dữ liệu.

b- lập mụ hình toán học.

c- xây dựng các thuật toán để giải bài toán đó mô hình hoặc bằng ngạn ngữ thuận lợi cho việc lập trình cho máy tính

d- tính toán thử và điều chỉnh mô hình nếu cần.

e- Áp dụng giải các bài toán thực tế.

Bài toán vốn đầu tư

người ta cần có một lượng (tối thiểu) chất dinh dưỡng i=1,2,..,m do các thức ăn j=1,2,...,n cung cấp. giả sử :

aij là số lượng chất dinh dưỡng loại i có trong 1 đơn vị thức ăn loại j

(i=1,2,...,m) và (j=1,2,..., n)

bi là nhu cầu tối thiểu về loại dinh dưìng i

cj là giỏ mua một đơn vị thức ăn loại j

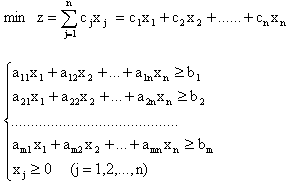
vấn đề đặt ra là phải mua các loại thức ăn như thế nào để tổng chi phí bỏ ra ít nhất mà vẫn đáp ứng được yêu cầu về dinh dưỡng. vấn đề được giải quyết theo mô hình sau đây :

gọi xj ≥ 0 (j= 1,2,...,n) là số lượng thức ăn thứ j cần mua .

tổng chi phí cho việc mua thức ăn là :

vì chi phí bỏ ra để mua thức ăn phải là thấp nhất nên yêu cầu cần được thỏa mãn là :

lượng dinh dưỡng i thu được từ thức ăn 1 là : ai1x1 (i=1→m)

lượng dinh dưỡng i thu được từ thức ăn 2 là : ai2x2

.........................................................

lượng dinh dưỡng i thu được từ thức ăn n là : ainxn

vậy lượng dinh dưỡng thứ i thu được từ các loại thức ăn là :

ai1x1+ai2x2+...+ainxn (i=1→m)

vì lượng dinh dưỡng thứ i thu được phải thỏa yêu cầu bi về dinh dưỡng loại đó nên ta có ràng buộc sau :

ai1x1+ai2x2+...+ainxn ≥ bi (i=1→m)

khi đó theo yêu cầu của bài toỏn ta cú mụ hỡnh toỏn sau đây :

Bài toán lập kế hoạch sản xuất

từ m loại nguyên liệu hiện có người ta muốn sản xuất n loại sản phẩm

giả sử :

aij là lượng nguyên liệu loại i dùng để sản xuất 1 sản phẩm loại j

(i=1,2,...,m) và (j=1,2,..., n)

bi là số lượng nguyờn liệu loại i hiện cú

cj là lợi nhuận thu được từ việc bỏn một đơn vị sản phẩm loại j

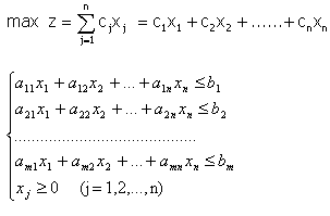
vấn đề đặt ra là phải sản xuất mỗi loại sản phẩm là bao nhiêu sao cho tổng lợi nhuận thu được từ việc bán các sản phẩm lớn nhất trong điều kiện nguyên liệu hiện có.

gọi xj ≥ 0 là số lượng sản phẩm thứ j sẽ sản xuất (j=1,2,...,n)

tổng lợi nhuận thu được từ việc bỏn cỏc sản phẩm là :

vì yêu cầu lợi nhuận thu được cao nhất nên ta cần có :

lượng nguyên liệu thứ i=1→m dùng để sản xuất sản phẩm thứ 1 là ai1x1

lượng nguyên liệu thứ i=1→m dùng để sản xuất sản phẩm thứ 2 là ai2x2

...............................................

lượng nguyên liệu thứ i=1→m dùng để sản xuất sản phẩm thứ n là ainxn

vậy lượng nguyên liệu thứ i dùng để sản xuất là các sản phẩm là

ai1x1+ai2x2+...+ainxn

vì lượng nguyên liệu thứ i=1→m dùng để sản xuất các loại sản phẩm không thể vượt quá lượng được cung cấp là bi nờn :

ai1x1+ai2x2+...+ainxn ≤ bi (i=1,2,...,m)

vậy theo yêu cầu của bài toán ta có mô hình sau đây :

Bài toán vận tải

người ta cần vận chuyển hàng hoá từ m kho đến n cửa hàng bán lẻ. lượng hàng hoá ở kho i là si (i=1,2,...,m) và nhu cầu hàng hoỏ của cửa hàng j là dj (j=1,2,...,n). cước vận chuyển một đơn vị hàng hoá từ kho i đến của hàng j là cij ≥ 0 đồng.

giả sử rằng tổng hàng hoá cũ ở các kho và tổng nhu cầu hàng hoá ở các cửa hàng là bằng nhau, tức là :

bài toán đặt ra là lập kế hoạch vận chuyển để tiền cước là nhỏ nhất, với điều kiện là mỗi cửa hàng đều nhận đủ hàng và mỗi kho đều trao hết hàng.

gọi xij ≥ 0 là lượng hàng hoá phải vận chuyển từ kho i đến cửa hàng j. cước vận chuyển chuyển hàng hoá i đến tất cả các kho j là :