Ma trận cơ sở - Phương án cơ sở - Suy biến
Xét bài toán quy hoạch tuyến tính chính tắc
Ma trận cơ sở
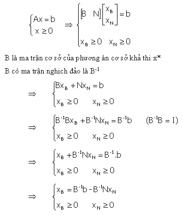
Người ta gọi cơ sở của bài toán quy hoạch tuyến tính chính tắc (P) là mọi ma trận B không suy biến (có ma trận nghịch đảo) mxm trích ra từ m cột của ma trận ràng buộc A. Các cột còn lại được gọi là ma trận ngoài cơ sở, ký hiệu là N .
Phương án cơ sở - Phương án cơ sở khả thi
B là một cơ sở của bài toán (P).
Khi đó, bằng cách hoán vị các cột của A người ta có thể luôn luôn đặt A dưới dạng :
Phương án cơ sở
Người ta gọi một phương án cơ sở tương ứng với cơ sở B là một phương án đặc biệt, nhận được bằng cách cho :
xN = 0
Khi đó xB được xác định một cách duy nhất bằng cách giải hệ phương trình tuyến tính bằng phương pháp Cramer :
BxB = b ⇔ xB = B-1b
Phương án cơ sở khả thi
Một phương án cơ sở là phương án cơ sở khả thi nếu :
xB = B-1b ≥ 0
Cơ sở tương ứng với một phương án khả thi được gọi là cơ sở khả thi .
Ví dụ : xét bài toán quy hoạch tuyến tính dạng chính tắc :
Các cột x5 x6 x3 tạo thành một ma trận cơ sở . Các biến tương ứng được gọi là các biến (trong) cơ sở .
Các cột x1 x2 x4 tạo thành một ma trận ngoài cơ sở. Các biến tương ứng được gọi là các biến ngoài cơ sở.
Một phương án cơ sở khả thi của bài toán là :
| x1 | x2 | x3 | x4 | x5 | x6 |
| 0 | 0 | 28 | 0 | 20 | 10 |
Suy biến
Một phương án cơ sở khả thi được gọi là suy biến nếu xB = B-1b ≥ 0 có những thành phần bằng 0. Sự suy biến là một hiện tượng thường xảy ra trong một số bài toán như bài toán vận tải, dòng dữ liệu, đường đi ngắn nhất....... Đây là hiện tượng khá phức tạp (có nhiều cách giải quyết sẽ được xét sau). Vì vậy trong những phần tiếp theo ta giả sử rằng phương án cơ sở khả thi là không suy biến, tức là xB = B-1b > 0 ( dương thực sự ) .
Dấu hiệu tối ưu
Theo trên, khi một bài toán quy hoạch tuyến tính có phương án tối ưu thì tồn tại một cơ sở khả thi (tối ưu) B* , tức là phương án cơ sở x* tương ứng với B* là phương án tối ưu.
Vấn đề bây giờ là xác định một thủ tục để tìm B*. Chúng ta sẽ thấy rằng thủ tục đó được suy ra một cách trực tiếp từ việc chứng minh dấu hiệu tối ưu sau đây.
Ðịnh lý 4 (dấu hiệu tối ưu)
Xét bài toán quy hoạch tuyến tính chính tắc

cN là chi phí ngoài cơ sở
cB là chi phí cơ sở
là chi phí trượt giảm
là lượng gia giảm chi phí
Chứng minh (cho bài toán max)
Ðiều kiện đủ
Giả sử x* là một phương án cơ sở khả thi với ma trận cơ sở B và thoả
thì cần chứng minh x* là phương án tối ưu, nghĩa là chứng minh rằng với mọi phương án bất kỳ của bài toán ta luôn có :
z(x) ≤ z(x*)
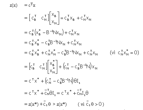
Xét một phương án khả thi x bất kỳ , x thoả :
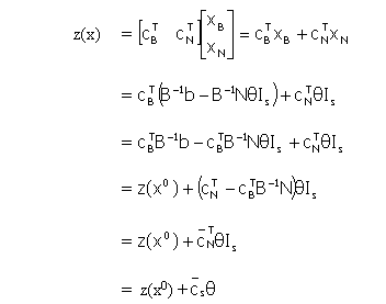
Tính giá trị hàm mục tiêu đối với phương án x ta được :

Ðiều kiện cần
Giả sử 
( là vectơ có n-m thành phần)
Ta sẽ chứng minh điều này bằng phản chứng.
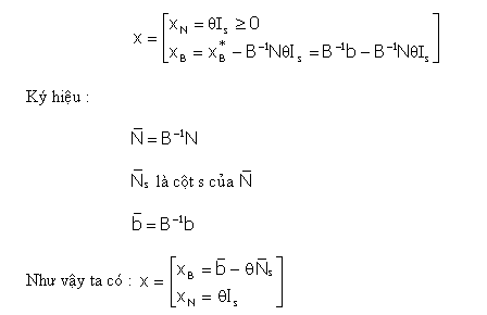
Giả sử rằng tồn tại một thành phần cs của mà cs > 0. Dựa vào cs người ta xây dựng một vectơ x như sau :
Trong đó θ>0 và Is là một vectơ có (n-m) thành phần bằng 0, trừ thành phần thứ s bằng 1 . Vậy

Do B-1b ≥ 0 nên người ta có thể chọn θ>0 đủ nhỏ để xB > 0
Vậy x được chọn như trên sẽ thoả :
x ≥ 0 (3)
Ta kiểm chứng x thỏa ràng buộc của bài toán bằng cách tính :
Từ (3) và (4) cho thấy x là một phương án khả thi của bài toán
Bây giờ ta chỉ ra mâu thuẩn bằng so sánh giá trị hàm mục tiêu tại x và x* . Ta có :
Vậy x* không phải là phương án tối ưu nên mâu thuẩn với giả thiết .
Chú ý
Qua việc chứng minh định lý dấu hiệu tối ưu ta thấy rằng từ một phương án cơ sở khả thi chưa tối ưu có thể tìm được các phương án khả thi càng lúc càng tốt hơn nhờ lặp lại nhiều lần công thức (*). Vấn đề được đặt là đại lượng θ được chọn như thế nào để nhanh chóng nhận được phương án tối ưu.
Bổ đề
Xét bài toán quy hoạch tuyến tính chính tắc
với B là một cơ sở khả thi nào đó và x0 là phương án cơ sở tương ứng, tức là
và
Xét
Nếu tồn tại một biến ngoài cơ sở xs sao cho >0 với là thành phần thứ s của thì :
a- Hoặc là người ta có thể làm tăng một cách vô hạn giá trị của xs mà không đi ra khỏi tập hợp các phương án khả thi, và trong trường hợp này phương án tối ưu của bài toán không giới nội.
b- Hoặc là người ta có thể xác định một cơ sở khả thi khác là có phương án cơ sở khả thi tương ứng với nó là tốt hơn , tức là :
z(x0) < z( )
Chứng minh
Trong quá trình chứng minh định lý dấu hiệu tối ưu ta có phương án mới được xác định như sau :
Hai trường hợp có thể xảy ra như sau :
a- Trường hợp
Trong trường hợp này xs có thể nhận một giá trị θ lớn tuỳ mà vẫn đảm bảo xB ≥ 0, nghĩa là x luôn luôn thoả ≥ 0 . Khi đó như đã biết giá trị hàm mục tiêu tương ứng là

b- Trường hợp tồn tại i=1→m sao cho
( là thành phần thứ i của )
Trong trường hợp này giá trị của θ>0 mà xs có thể nhận không thể tăng vô hạn vì phải đảm bảo xB>0. Giá trị lớn nhất của θ mà xs có thể nhận được xác định như sau :
Ghi chú :
Trong trường hợp bài toán không suy biến, nếu được xác định một cách duy nhất thì phương án mới có đúng m thành phần khác 0. Thật vậy :
- Biến xs đang bằng 0 trong phương án x0 trở thành dương thật sự vì
- Biến xr đang dương thật sự bây giờ nhận giá trị :
Vậy phương án mới là một phương án cơ sở. Nó tương ứng với cơ sở ở được suy ra từ B bằng cách thay thế cột r bằng cột s.
Người ta nói rằng hai cơ sở B và là kề nhau, chung tương ứng với những điểm cực biên kề nhau trong tập hợp lồi S các phương án khả thi của bài toán.
CÂU HỎI CHƯƠNG 1
1- Trình bày các bước nghiên cứu một quy hoạch tuyến tính.
2- Định nghĩa quy hoạch tuyến tính chính tắc.
3- Trình bày khái niệm về phương án của một quy hoạch tuyến tính.
4- Trình bày cơ sở lý thuyết của phương pháp hình học giải một quy hoạch tuyến tính hai biến.
BÀI TẬP CHƯƠNG 1
1- Một nhà máy cán thép có thể sản xuất hai loại sản phẩm : thép tấm và thép cuộn. Nếu chỉ sản xuất một loại sản phẩm thì nhà máy chỉ có thể sản xuất 200 tấn thép tấm hoặc 140 tấn thép cuộn trong một giờ . Lợi nhuận thu được khi bán một tấn thép tấm là 25USD, một tấn thép cuộn là 30USD. Nhà máy làm việc 40 giờ trong một tuần và thị trường tiêu thụ tối đa là 6000 tấn thép tấm và 4000 tấn thép cuộn .
Vấn đề đặt ra là nhà máy cần sản xuất mỗi loại sản phẩm là bao nhiêu trong một tuần để đạt lợi nhuận cao nhất. Hãy trình bày bài toán quy hoạch tuyến tính cho vấn đề trên.
2- Có 3 người cùng phải đi một quảng đường dài 10km mà chỉ có một chiếc xe đạp một chổ ngồi. Tốc độ đi bộ của người thứ nhất là 4km/h, người thứ hai là 2km/h, người thứ ba là 2km/h. Tốc độ đi xe đạp của người thứ nhất là 16km/h, người thứ hai là 12km/h, người thứ ba là 12km/h.
Vấn đề đặt ra là làm sao để thời gian người cuối cùng đến đích là ngắn nhất. Hãy trình bày bài toán quy hoạch tuyến tính cho vấn đề trên.
3- Một nhà máy sản xuất ba loại thịt : bò, lợn và cừu với lượng sản xuất mỗi ngày là 480 tấn thịt bò, 400 tấn thịt lợn, 230 tấn thịt cừu. Mỗi loại đều có thể bán được ở dạng tươi hoặc nấu chín. Tổng lượng các loại thịt có thể nấu chín để bán là 420 tấn trong giờ và 250 tấn ngoài giờ. Lợi nhuận thu được từ việc bán một tấn mỗi loại thịt được cho trong bảng sau đây :
Hãy trình bày bài toán quy hoạch tuyến tính để nhà máy sản xuất đạt lợi nhuận cao nhất.
4- Một xưởng mộc làm bàn và ghế. Một công nhân làm xong một cái bàn phải mất 2 giờ, một cái ghế phải mất 30 phút. Khách hàng thường mua nhiều nhất là 4 ghế kèm theo 1 bàn do đó tỷ lệ sản xuất giữa ghế và bàn nhiều nhất là 4:1. Giá bán một cái bàn là 135USD, một cái ghế là 50USD. Hãy trình bày bài toán quy hoạch tuyến tính để xưởng mộc sản xuất đạt doanh thu cao nhất, biết rằng xưởng có 4 công nhân đều làm việc 8 giờ mỗi ngày.
5- Một nhà máy sản xuất hai kiểu mũ. Thời gian để làm ra một cái mũ kiểu thứ nhất nhiều gấp 2 lần thời gian làm ra một cái kiểu thứ hai. Nếu sản xuất toàn kiểu mũ thứ hai thì nhà máy làm được 500 cái mỗi ngày. Hàng ngày, thị trường tiêu thụ nhiều nhất là 150 cái mũ kiểu thứ nhất và 200 cái kiểu thứ hai. Tiền lãi khi bán một cái mũ kiểu thứ nhất là 8USD, một cái mũ thứ hai là 5USD. Hãy trình bày bài toán quy hoạch tuyến tính để nhà máy sản xuất đạt lợi nhuận cao nhất.
6- Trong hai tuần một con gà mái đẻ được 12 trứng hoặc ấp được 4 trứng nở ra gà con. Sau 8 tuần thì bán tất cả gà con và trứng với giá 0,6USD một gà và 0,1USD một trứng. Hãy trình bày bài toán quy hoạch tuyến tính bố trí 100 gà mái đẻ trứng hoặc ấp trứng sao cho doanh thu là nhiều nhất.
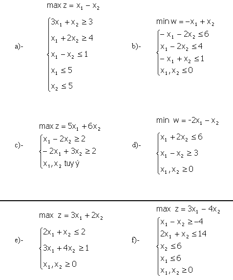
7- Giải những bài toán quy hoạch tuyến tính sau đây bằng phương pháp hình học :