Xét hai bài toán đối ngẫu :
Chúng ta sẽ xét xem giải thuật đơn hình cơ bản đã biết trong chương trước được áp dụng như thế nào đối với bài toán đối ngẫu.
Giả sử rằng B là một cơ sở của bài toán (P) thoả :
và
Nếu B cũng là một cơ sở khả thi của bài toán gốc, tức là
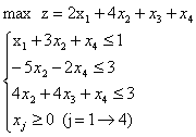
Để tiện việc trình bày ta xét (m=3 , n=5) :
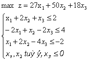
và bài toán đối ngẫu
(D) 
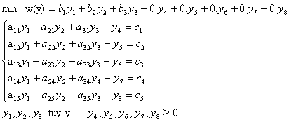
Người ta đưa (D) về dạng chính tắc bằng cách thêm các biến phụ y4 y5, y6, y7, y8 ≥ 0. Chúng không ảnh hưởng đến hàm mục tiêu.
Các dữ liệu của (D) được trình bày trong bảng sau :
Giả sử rằng m cột đầu tiên của A là một cơ sở B của (P) thì hai bảng trên được trình bày rút gọn như sau :
Để đưa bài toán đối ngẫu về dạng chuẩn người ta nhân (bên trái) bảng (D) với bảng sau đây :
Khi đó người ta được bảng kết quả có dạng :
Bảng này cho ta một quy hoạch tuyến tính dạng chuẩn với ma trận đơn vị (cơ sở) tương ứng với các cột y1 y2 y3 y7 y8 .
Áp dụng giải thuật đơn hình cơ bản vào kết quả này cho ta quy tắc đổi cơ sở như sau :
Tính :
a- Nếu thì giải thuật kết thúc, khi đó :
là phương án tối ưu của bài toán đối ngẫu .
là phương án tối ưu của bài toán gốc .
b- Nếu tồn tại r sao cho thì xảy ra một trong hai trường hợp sau :
- Nếu trong dòng r của có thành phần < 0 thì người ta tính :
Như vậy : đối với bài toán đối ngẫu thì biến yr đi vào cơ sở và biến ys ra khỏi cơ sở, trong khi đó đối với bài toán gốc thì biến xs đi vào cơ sở và biến xr ra khỏi cơ sở.
- Nếu mọi thành phần trong dòng r của đều > 0 thì phương án tối ưu của bài toán đối ngẫu là không giới nội, điều này (theo định lý đối ngẫu) dẫn đến bài toán gốc không có phương án.
Ta có thể chọn bài toán (D) hoặc (P) để giải tìm phương án tối ưu bằng phương pháp đơn hình, từ đó suy ra phương án tối ưu của bài toán còn lại theo kết quả trên. Trong ví dụ này ta chọn bài toán (D) để giải vì có chứa sẵn ma trận đơn vị.
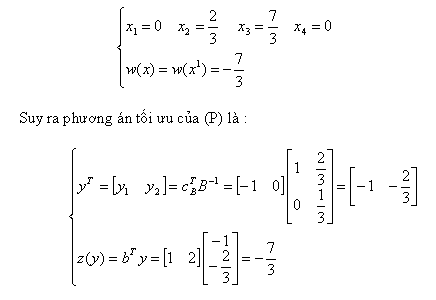
Giải bài toán (D) bằng phương pháp đơn hình cải tiến ta được :
Giải thuật dừng vì thoả dấu hiệu tối ưu của bài toán min.
Phương án tối ưu của bài toán (D) là :
CÂU HỎI CHƯƠNG 3
1- Bạn hiểu như thế nào về khái niệm đối ngẫu ?
2- Quy hoạch tuyến tính đối ngẫu của một quy hoach tuyến tính chính tắc có dạng như thế nào ?
3- Bạn hãy nêu ra các quy tắc đối ngẫu. Cho ví dụ .
4- Giá trị hàm mục tiêu của hai quy hoạch tuyến tính đối ngẫu thì như thế nào ? . Chứng minh
BÀI TẬP CHƯƠNG 3
1- Xét bài toán quy hoạch tuyến tính
max z = 7x1 + 5x2
2x1 + 3x2 ≤ 19
(P) 2x1 + x2 ≤ 13
3x2 ≤ 15
3x1 ≤ 18
x1 , x2 ≥ 0
a- Tìm bài toán đối ngẫu (D) từ bài toán (P)
b- Tìm phương án tối ưu cho bài toán (P)
c- Từ bảng đơn hình tối ưu của (P). Hãy tìm phương án tối ưu cho bài toán (D)
2- Xét bài toán quy hoạch tuyến tính
min w= x1 + x2
x1 - 2x3 + x4 = 2
(D) x2 - x3 + 2x4 = 1
x3 - x4 + x5 = 5
xi ≥ 0, ∀i = 1→5
a- Tìm bài toán đối ngẫu của bài toán (D)
b- Tìm phương án tối ưu của bài toán (D)
c- Từ bảng đơn hình tối ưu của bài toán (D). Hãy tìm phương án tối ưu cho bài toán đối ngẫu ở câu a.
3- Xét bài toán quy hoạch tuyến tính
min w = -2x1 - x4
x1 + x2 + 5x3 = 20
(D) x2 + 2x4 ≥ 5
x1 + x2 - x3 ≥ 8
xi tùy ý (i=1→ 4)
Tìm bài toán đối ngẫu (P) của bài toán (D). Từ bài toán (P) hãy chỉ ra rằng (P) không tồn tại phương án tối ưu do đó (D) cũng tồn tại phương án tối ưu.
4- Cho bài toán quy hoạch tuyến tính
(D) 
1- Tìm bài toán đối ngẫu của bài toán đã cho.
2- Giải bài toán đã cho rồi suy ra kết quả của bài toán đối ngẫu.
5- Cho bài toán quy hoạch tuyến tính
(D) 
a- Tìm bài toán đối ngẫu của bài toán đã cho.
b- Giải bài toán đối ngẫu rồi suy ra kết quả của bài toán đã cho.