Phục hồi sinh học pha bùn

Mở đầu

Nếu như làm đất và ủ đống là những phương pháp xử lý đất ô nhiễm ở trạng thái rắn (pha rắn) thì phục hồi sinh học pha bùn (xử lýpha bùn) là phương pháp được dùng để xử lý đất ô nhiễm sau khi đã chuyển nó sang dạng bùn. Đất ô nhiễm thường được đào bớiđược đưa vào một nồi phản ứng dành cho pha bùn. Trong một số trừơng hợp, các loại bùn phát sinh từ sự tồn trữ lâu các vật liệu bị ô nhiễm thì được xử lý tại chỗ trong những điều kiện của pha bùn. Những tên gọi khác của xử lý pha bùn là: xử lý trong hệ thống nồi phản ứng sinh học (bioreactor system), xử lý bùn sinh học (bioslurry treatment), hoặc xử lý trong các nồi tiếp xúc pha lỏng-pha rắn(liquid-solid contactor)

Đặc điểm nổi bật của xử lý pha bùn là sự huyền phù hoá đất ô nhiễm (hoặc bùn ô nhiễm) trong một môi trường lỏng; nghĩa là quá trình xử lý diễn ra trong các điều kiện bão hoà. Bùn được tạo thành bằng cách bổ sung nước hoặc nước thải vào đất ô nhiễm để đạt được một mật độ bùn mong muốn. Mật độ cần đạt được này phụ thuộc vào lượng đất (hoặc bùn) cần xử lý và nồng độ chất gây ô nhiễm trong đó. Mật độ bùn càng cao thì năng lượng tiêu thụ cho việc khuấy trộn càng tốn. Khi cần xử lý một lượng lớn nguyên liệu thì nên xử lý ở mật độ bùn loãng. Tương tự, nếu nồng độ các chất gây ô nhiễm là lớn thì cần một tốc độ tiếp xúc với oxy lớn, và có thể cần phải pha loãng. Trong hầu hết các quá trình xử lý pha bùn, các nồi phản ứng dành cho pha bùn được khuấy trộn kỹ để duy trì các chất rắn ở dạng huyền phù.

Việc khuấy trộn bùn trong nồi phản ứng có tác dụng làm tăng sự tiếp xúc giữa các vi sinh vật với chất gây ô nhiễm, do đó làm tăng sự vận chuyển vật chất vào tế bào và tăng tốc độ phản ứng. Việc khuấy trộn liên tục, cùng với sự thông khí, còn có tác dụng làm vỡ các hòn đất nhỏ và làm hoà tan các chất gây ô nhiễm.

Việc bổ sung các chất dinh dưỡng (vô cơ và/hoặc hữu cơ) cũng thường là cần thiết để tối ưu hoá sự phân huỷ sinh học.

Việc khống chế pH và nhiệt độ trong nồi phản ứng cũng góp phần tối ưu hoá sự phân huỷ sinh học, thông qua việc đáp ứng các nhu cầu này cho sinh trưởng của vi sinh vật.

Nhìn chung, nếu so sánh với các quá trình xử lý khác, thì xử lý pha bùn cho phép một sự tiếp xúc tốt nhất giữa các chất gây ô nhiễm với vi sinh vật, với oxy, nước, và các chất dinh dưỡng. Chính vì vậy, xử lý pha bùn đặc biệt được áp dụng cho các đất bị ô nhiễm các chất thải dạng dầu và các chất thải có tính quánh dạng hắc ín [194].

Có hai cách thức xử lý pha bùn: xử lý bên trong(in situ)xử lý tại chỗ (on site). Hai cách xử lý này thật ra không khác nhau nhiều, chỉ là sự khác nhau về công cụ xử lý và về vận hành.

  • Xử lý bên trong được thực hiện chính ngay tại đầm hoặc hồ ao, nơi có bùn ô nhiễm cần xử lý, mà không gây xáo trộn hoặc cản trở nhiều cho các hoạt động bình thường của địa điểm hay khu vực xử lý.
  • Xử lý tại chỗ ám chỉ xử lý đất hay bùn ô nhiễm sau khi chúng được nạo vét, đào bới đưa vào xử lý trong các nồi phản ứng sinh học được thiết kế đặc biệt. Xử lý bùn bên trong theo đúng nghĩa được thực hiện có sự tham gia của một máy khuấy trộn và/hoặc máy thông khí, được lắp đặt nổi ngay trong hồ ao, và việc xử lý toàn bộ hồ ao ấy diễn ra theo một đợt (= mẻ) duy nhất. Khi mục đích xử lý đã đạt được thì các chất rắn trong hồ được cho lắng xuống, còn phần lỏng thì được bơm ra ngoài. Nếu muốn giữ lại bùn đã xử lý ngay tại hồ, chẳng hạn khi tầng lót đáy hồ còn nguyên vẹn và không xảy sự ô nhiễm đất bên dưới nó, hoặc khi không có tầng lót nhưng sự ô nhiễm đất bên dưới là không đáng kể, thì sau đó các chất rắn có thể được làm khô, hoặc được ổn định bằng cách bổ sung vôi hoặc tro trước khi lấp hồ.

Nếu là ao nơi xử lý bùn có diện tích lớn hơn 8000 m2 thì không nên xử lý bằng một mẻ duy nhất vì khó làm cho bùn ở đó đồng nhất hoàn toàn [201]. Trường hợp này cần phải chia nó thành các ô, nhờ các thanh chắn hoặc các bờ bằng đất, trước khi tiến hành xử lý.

Các nồi phản ứng dùng cho xử lý bùn có thể được chế tạo lấy hoặc mua về. Các nồi thương phẩm có kích thước từ 3 đến 15m đường kính, và 4,5 đến 7,6 m chiều sâu. Các bồn chứa di chuyển được có thể chứa khoảng 75m3 chất lỏng, trong khi đó các nồi phản ứng bên trong được tự xây dựng thường có sức chứa từ 300 đến 1.325 m3 [193], thậm chí lớn hơn. Các nồi phản ứng bên trong thường được xây dựng tại nơi mà đất ô nhiễm đã được đào bới lên thành một ao hoặc hố trũng. Để tránh sự ô nhiễm nước ngầm, có thể phải nén chặt đất nền ao ấy và lót nó bằng đất sét nhằm tạo một lớp ít thấm. Sau đó trải một lớp lót dầy, bằng polyetylen tỷ trọng lớn chẳng hạn, để chứa chất lỏng và giữ cho nó khỏi ngấm xuống nước ngầm.

Mô tả quá trình

Thông thường, các hệ thống xử lý pha bùn được vận hành theo kiểu từng đợt, hoặc “từng đợt nửa vời” (semibatch), đó là do bản chất và khối lượng vật liệu cần xử lý. Trong một số ít trường hợp có thể vận hành theo kiểu dòng liên tục.

Theo kiểu từng đợt, người ta dùng một nồi phản ứng riêng lẻ, và thứ tự các thủ tục vận hành như sau:

  • Cho đất ô nhiễm hoặc bùn ô nhiễm vào một nồi phản ứng riêng lẻ
  • Bổ sung các chất dinh dưỡng, nước, các chủng giống vi sinh vật.
  • Khuấy trộn và thông khí cho bùn, cho tới khi các chất đích được chuyển hoá tới mức độ cần thiết.
  • Ngừng khuấy trộn và thông khí
  • Tách các chất rắn ra khỏi chất lỏng bằng cách để lắng (đối với đất) hoặc tuyển nổi (đối với một số loại bùn)

Loại bỏ các chất rắn, và nếu có thể thì:

  • Trả chúng về chỗ cũ, đồng thời
  • Đưa phần lỏng đi xử lý ở một trạm xử lý nước thải, hoặc cho bay hơi, hoặc tái tuần hoàn vào đợt xử lý bùn tiếp theo.

Một phần bùn được giữ lại trong nồi phản ứng để dùng làm vật liệu cấy (chủng giống vi sinh vật) cho lần xử lý tiếp theo. Một quá trình xử lý như vậy được gọi là xử lý trong nồi phản ứng theo đợt kế tiếp nhau (sequencing batch reactor, SBR).

Theo kiểu “ từng đợt nửa vời”, người ta dùng các bồn chứa riêng biệt, và thứ tự các thủ tục vận hành, ứng với các bồn chứa ấy như sau:

  • Trong bồn đầu tiên, người ta trộn các các chất rắn với nước, bổ sung các chất dinh dưỡng cần thiết, các chủng giống vi sinh vật, các chất điều chỉnh pH. Những thủ tục này được thực hiện trong bồn thứ nhất.
  • Chuyển hỗn hợp nói trên sang bồn xử lý (hoặc những bồn xử lý), tại đó xảy ra hầu hết các quá trình phân huỷ sinh học, trong điều kiện có khuấy trộn và thông khí liên tục.
  • Bơm bùn sang bồn cuối cùng, tại đó chất lỏng được tách ra khỏi các chất rắn. Một số quá trình phân huỷ sinh học có thể còn tiếp tục diễn ra trong thời gian tách, nhờ đó mà toàn bộ quá trình xử lý có thể đạt tới mức mong muốn.

Hệ thống xử lý theo từng đợt nửa vời có thể có hiệu quả hơn về số lượng so với hệ thống theo đợt, vì các bước bổ sung nước và tách các chất rắn có thể được tiến hành trong các bồn chứa nhỏ hơn. Tuy nhiên, nó phức tạp và đòi hỏi chi phí lớn hơn so với hệ thống xử lý theo đợt bằng bồn chứa riêng lẻ.

Hình …. Một trạm xử lý sinh học pha bùn ở quy mô thực địa. Bùn này phát sinh từ chất thải xử lý gỗ. Trong ảnh là một hệ thống gồm bốn nồi phản ứng 200.000 galon, đặt tại nơi xử lý gỗ ở Superfund, Mississipi. Trạm này thuộc khuôn khổ Dự án xử lý sinh học ex situ đối với pha bùn, lần đầu tiên hoàn thành tại Superfund[243].

Cấu hình nồi phản ứng và sự mô hình hoá

Mở đầu

Như đã đề cập ở trên, có hai loại nồi phản ứng, là nồi phản ứng theo đợt kế tiếp nhau, SBR (hình9.1) và nồi phản ứng “từng đợt nửa vời” (hình 9.2). Lưu ý rằng trên hình 9.1 trình bày các bước kế tiếp nhau về thời gian, diễn ra trong cùng một nồi phản ứng, còn trên hình 9.2 là các bước kế tiếp nhau diễn ra trong các nồi khác nhau, tương ứng.

Hình 9.1. Sơ đồ bước vận hành một nồi phản ứng SBR. Thời gian cần thiết cho mỗi bước thì phụ thuộc vào nguyên liệu đang được xử lý.

Hình 9.2. Sơ đồ hệ thống nồi phản ứng “theo đợt nửa vời, trong đó sự bổ sung nước, sự phản ứng, và sự tách các chát rắn được diễn ra trong các nồi tách biệt nhau.

Điều cần nhấn mạnh là, ở cả hai kiểu nồi trên đây, các bước có thể thao tác theo kỹ thuật như đã liệt kê ở phần 9.2 có thể được gộp thành các bước có tính nguyên lý sinh học, chung cho cả hai loại nồi là:

  • Pha loãng đất ô nhiễm (hoặc bùn ô nhiễm) thành huyền dịch tới độ quánh đặc mong muốn, kết hợp với bổ sung chất dinh dưỡng, và chủng giống (nếu cần) .
  • Tạo điều kiện và để cho quá trình xử lý diễn ra.
  • Tách chất rắn ra khỏi chất lỏng; và giải quyết nốt các phần việc còn lại, hoặc xử lý tiếp nếu cần.

Thời gian cần thiết để pha loãng huyền dịch đất hoặc bùn tới độ quánh mong muốn, cũng như để bổ sung chất dinh dưỡng và bổ sung các vật liệu khác thì phụ thuộc vào công suất của các máy bơm và lượng vật chất có trong nồi phản ứng.

Thơì gian phản ứng (hay thời gian thực sự xử lý) thì phụ thuộc khả năng bị phân huỷ của các chất gây ô nhiẽm, mật độ các vi sinh vật có mặt, và sự phân bố của các chất gây ô nhiễm giữa pha lỏng và các pha rắn. Như đã đề cập trong hai chương 4 và 5 , các vi sinh vật thu nhận toàn bộ chất dinh dưỡng của mình từ pha lỏng, do vậy sự phân bố các chất gây ô nhỉễm giữa các pha và/ hoặc tốc độ vận chuyển vật chất vào tế bào là những nhân tố cực kỳ quan trọng trong thiết kế nồi phản ứng dành cho bùn.

Cuối cùng, thời gian tách chất rắn ra khỏi chất lỏng (lắng, gạn chắt) thì phụ thuộc các tính chất của hạt đất và mật độ huyền dịch. Vận tốc lắng giảm khi kích thước hạt và nồng độ hạt giảm xuống.

Mô hình hoá nồi phản ứng theo mẻ

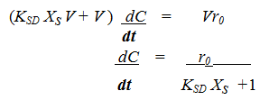
Với các nồi phản ứng bùn ở quy mô lớn thì rất khó có thể khuấy trộn thật đều như người ta luôn luôn mong muốn. Trong những nồi phản ứng theo mẻ hoạt động thật hoàn hảo, có một mối tương quan giữa khối lượng các chất gây ô nhiễm và tốc độ phản ứng như sau:

trong đó:M = khối lượng của các chất gây ô nhiễm trong nồi phản ứng

t = thời gian, ngày

V = khối lượng nồi phản ứng, m3

r0 = tốc độ phân huỷ sinh học chất gây ô nhiễm, kg/m3 .ngày

Ở đây, khối lượng chất lỏng được coi là tương đương với khối lượng tổng số V(tức Vlỏng+ Vrắn). Khối lượng chất rắn là không đáng kể so với khối lượng chất lỏng, trong hầu hết trường hợp . Trong các trường hợp không như vậy thì các phương trình 9.1- 9.5 cần phải được sửa đổi.

Khối lượng của các chất gây nhiễm có mặt bao gồm cả những chất hấp phụ lên các chất rắn cũng như các chất trong dung dịch:

M = s X sV + CV (9.2)

trong đó :

s = khối lượng của các chất gây ô nhiễm hấp phụ trên đơn vị khối lượng của các chất rắn có mặt trong nồi phản ứng, kg/kg

Xs= nồng độ khối lượng của các chất rắn (coi rằng đó là đất ô nhiễm), kg/m3

C = Nồng độ khối lượng của các chất gây ô nhiễm hoà tan, kg/m3

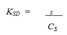
Khi phản ứng diễn ra chậm thì các điều kiện cân bằng là gần đúng, và khi ấy các chất hoà tan có tương quan với nhau theo hệ số phân bố trong đất, KSD (xem chương 3, phần thảo luận đầy đủ về hệ số phân bố trong đất)

Khi phản ứng diễn ra nhanh thì các điều kiện là không cân bằng, và cần phải tính các cân bằng vật chất riêng rẽ cho pha hấp phụ và pha lỏng.

Cho pha hấp phụ:

Cho pha lỏng:

trong đó:

KL= hệ số tốc độ vận chuyển khối, m/ngày

a = vùng phân cách trên mỗi đơn vị khối lượng, m-1

Cs = nồng độ trong pha lỏng lúc cân bằng với pha rắn,

như được quy định theo phương trình (9.3) , kg/m3.

Trong rất nhiều trường hợp, các điều kiện cân bằng là gần đúng, và phương trình (9.1) có thể được viết là:

Bài toán 9.1: Sự phân huỷ sinh học trong nồi phản ứng bùn

Một đất ô nhiễm được phục hồi trong một nồi phản ứng bùn. Nồng độ chất gây ô nhiễm, được đo theo COD, là 800mg/kg đất khô, và nồng độ cho phép (do độ độc) là 40mg/kg. Dựa theo các nghiên cứu ở phòng thí nghiệm, KSD= 0,2 m3/ kg, và sự phân huỷ sinh học có thể được mô tả như một hàm số bậc nhất của nồng độ COD hoà tan. Đã xác định được một giá trị của hệ số tốc độ bậc nhất là 0,05 mỗi ngày. Có thể đạt được một sự khuấy trộn thoả đáng ở nồng độ chất rắn là 10kg/m3. Hãy tính thời gian cần thiết để phục hồi đất này. Tỷ trọng của đất là 2.600 kg/m3.

Bài giải

  1. Xác định khối lượng nước cần thiết cho mỗi kg đất để bùn có nồng độ 10kg/m3.

Vw= 0,1 m3 /kg đất

2. Xác định các nồng độ đầu và cuối của chất ô nhiễm trong pha lỏng (tính trên 1 kg đất).

C = s

K SD

M = 8 x 10- 4 kg = s (1kg) + VC

=( KSD+ V)C =(0,2 + 0,1) C

3. Hãy áp dụng phương trình (9.6b) để xác định thời gian cần thiết cho sự phục hồi.

Tích phân từ C0 đến Cf và từ 0 đến t

t = - 59,9 ln 0,05 = 179 ngày.

Cung cấp oxy

Như đã biết, oxy là cần thiết cho sự phân huỷ sinh học hiếu khí chất gây ô nhiễm. Trong những điều kiện nào đó thì có thể thay oxy bằng NO3-, NO2-, hoặc SO42- để dùng làm chất nhận điện tử cuối cùng. Trong những trường hợp còn lại, vốn là phổ biến, thì vẫn nên dùng oxy, vì nó có khả năng oxy hoá nhiều chất hơn,

Có ba phương thức cung cấp oxy cho các nồi phản ứng xử lý bùn:

  • Sự thông khí nhờ khuyếch tán
  • Sự phun khí kết hợp với hoạt động của tuabin
  • Sự thông khí từ bề mặt

Sự thông khí nhờ khuyếch tán (hình 9.3a)

Theo phương pháp này, oxy được cung cấp nhờ sự thổi không khí qua những dụng cụ khuyếch tán có nhiều lỗ nhỏ, chẳng hạn như bằng gốm, được đặt ở đáy bể. Khi các bóng khí nổi lên, oxy khuyếch tán qua bề mặt ranh giới giữa hai pha khí và lỏng của các bóng ấy.

Hiệu quả vận chuyển oxy của phương pháp này phụ thuộc vào kích thước của bóng khí và thời gian tiếp xúc. Thời gian tiếp xúc phụ thuộc vào chiều cao của khối chất lỏng; hầu hết các bể được thông khí theo kiểu khuyếch tán có chiều sâu 5 m trở lên.

Sự phun khí kết hợp với hoạt động của tuabin (hình 9.3b)

Như tên gọi của phương pháp đã cho thấy, ở đây, một dụng cụ thông khí được đặt dưới một tuabin dẹt ở đáy nồi phản ứng, sao cho không khí phun ra làm quay tuabin; tuabin này hoạt động làm khuấy trộn vật chất chứa trong nồi, do đó làm cho không khí tạo thành các bóng khí nhỏ, cũng là làm tăng hiêụ quả trộn đều và hiệu quả vận chuyển oxy. Ở các nồi phản ứngcó chiều sâu lớn có thể còn phải lắp đặt thêm các cánh khuấy và một tuabin ở lưng chừng nồi để đảm bảo một sự khuấy trộn hoàn hảo.

Sự thông khí từ bề mặt (hình 9.3c)

Sự thông khí này được thực hiện nhờ một tuabin đặt ở bề mặt pha lỏng. Khi tubin ở bề mặt quay, nước được kéo lên phía trên và văng ra ngoài thành các giọt nhỏ. Các gọt này làm tăng tổng diện tích bề mặt của nước có thể tiếp nhận oxy. Hoạt động của tuabin này cũng có tác dụng khuấy trộn. Sự khuấy trộn này chỉ giới hạn ở một độ sâu nào đó trong nồi, mặc dù có thể lắp đặt thêm các ống đặc biệt để làm tăng độ sâu khuấy trộn có hiệu quả.

Hình9.3. Sơ đồ minh hoạ các định nghĩa về các hệ thống vận chuyển oxy trong phục hồi sinh học.

Đối với một huyền dịch loãng, ví dụ nước thải đô thị đang được xử lý, thì tốc độ vận chuyển oxy thường là từ 1,2 đến 2,5 kg O2 .kw.h cho cả ba hệ thống trên đây. Tuy nhiên, tốc độ vận chuyển oxy giảm xuống khi nồng độ chất rắn trong huyền dịch tăng lên, và cần phải thận trọng trong việc lựa chọn các thiết bị cho các quá trình phục hồi sinh học pha bùn. Nếu nồng độ chắt rắn vào khoảng 10% thì tốc độ vận chuyển oxy có thể thấp hơn nhiều so với giá trị 1kg O2 .kw.h.

Tốc độ vận chuyển oxy cần đạt đến thì phụ thuộc vào tốc độ phân huỷ chất hữu cơ ro và tốc độ sinh trưởng của vi sinh vật rg. Tốc độ hấp thụ oxy, và do đó tốc độ vận chuyển oxy cần đạt đến là nhỏ hơn so với tốc độ loại bỏ COD, bởi vì một phần chất hữu cơ được dùng vào việc tạo ra các vi khuẩn mới chứ không phải bị oxy hoá. Đáng tiếc là trong một hệ thống xử lý pha bùn thì việc xác định sinh khối vi khuẩn là cực kỳ khó khăn. Một tương quan gần đúng cho tốc độ hấp thụ oxy, tốc độ này dựa trên thiét kế xử lý nước thải [197] được nêu trong phương trình (9.7) dưới đây.

trong đó rO2 = tốc độ tiêu thụ oxy

T = thời gian lưu giữ chất rắn, ngày.

trong đó VR = khối lượng các chất rắn lắng xuống được giữ trong bể, m3

t = thời gian phản ứng, ngày.

Bài toán 9.2. Về yêu cầu vận chuyển oxy trong một nồi phản ứng dành cho pha bùn.

Hãy tính yêu cầu vận chuyển oxy cho hệ thống phục hồi sinh học của của bài toán 9.1 nếu khối lượng của phần giữ được trong mỗi lần xử lý là 10%.

Bài giải

  1. Xác định thời gian lưu giữ các chất rắn T

T = 1,1 t = 1,1(18 ngày) = 19,8 ngày

  1. Xác định rO2

rO2= rO(1 - 0,6 )

1+ 0,05 T

= - kC (1 - 0,6 ) = - 0,7 kC

1+ 0,05 T

C = CO e-kt = COe- 0,0167 t

rO2 = - 0,7(0,05) COe- 0,0167 t=-0,035 COe- 0,0167 t

CO = 2,67 x 10-3 kg/m3

rO2 = 9,35 x 10-5e- 0,0167 tkg/m3. ngày

3. Tốc độ hấp thụ oxy (giá trị tuyệt đối) sẽ giảm khi COD giảm (hình 9.4)- nghĩa là khi sự phục hồi sinh học diễn ra. Tốc độ vận chuyển oxy cần đạt đến là tương đương với tốc độ tiêu dùng oxy. Mặc dù tốc độ vận chuyển cần đạt đến thì giảm tới một giá trị rất thấp, nhưng vẫn cần phải khuấy trộn như cũ để giữ đất ở trạng thái huyền dịch. Vì thế không thể giảm tốc độ tuabin khi nhu cầu oxy giảm xuống.

Hình 9.4. Tốc độ vận chuyển oxy là hàm số của thời gian phản ứng trong bài toán 9.1 và 9.2.

Khuấy trộn

Sự khuấy trộn làm cho chất lỏng trong nồi phản ứng được đầy lên. Nếu trong nồi phản ứng bùn có những gradien nồng độ hoặc nhiệt độ thì tốc độ phản ứng tại các điểm khác nhau trong nồi sẽ là khác nhau. Trong một vài trường hợp……….

Trong một nồi phản ứng bùn, thường phải khuấy trộn chất lỏng thật đồng đều, để đạt được các gradien nồng độ nhỏ nhất, nghĩa là để đạt được các tốc độ phản hấp phụ lớn nhất, và độ độc với vi sinh vật là nhỏ nhất.

Lý thuyết về sự khuấy trộn đã được đề ra cho các nồi phản ứng tương đối nhỏ (<50m3), trong khi đó các hệ thống xử lý pha bùn thường có dung tích lớn hơn nhiều (> 500m3). Việc lựa chọn thiết bị khuấy trộn thường dựa theo kinh nghiệm trong những điều kiện cụ thể. Trong nhiên, trong trường hợp của các nồi lên men lớn bắt đầu đưa vào sử dụng lần đầu thì cần phải kết hợp giữa kinh nghiệm với sự giới thiệu của nhà sản xuất, cũng như phải làm thử nghiệm để lưa chọn được thiết bị khuấy phù hợp.

Vì trong nồi phản ứng pha bùn thì đất lắng xuống nhanh nên chế độ khuấy trộn sẽ phải thay đổi. Bán kính tác dụng của một máy khuấy trộn kiểu tuabin được dùng cho các huyền dịch đất thường bằng 2-3 lần đường kính vòng quay của máy khuấy ấy. Như vậy để có thể khuấy trộn kỹ bằng một máy khuấy có đường kính 5m trong một nồi có đáy vuông, mỗi cạnh 60m thì cần từ 16 đến 36 máy.

Mức độ khuấy trộn do máy khuấy tạo ra có thể được biểu thị bằng đại lượng Reynolds (NRei ) của máy khuấy:

NRei= NDi2p

trong đó:

N = tốc độ quay của máy khuấy, vòng/giây (rps)

Di = đường kính vòng quay của cánh khuấy, m

p = mật độ huyền dịch, kg/m3

ỡ = độ nhớt động lực của huyền dịch, kg/m.giây

Để duy trì được các trạng thái khuấy trộn trong vùng khuấy trộn, hoặc vùng tác dụng, thì cần các trị số NRei lớn hơn 10.000. Đối với một máy khuấy có đường kính 5m và một huyền dịch có các đặc tính gần giống như của nước (pw = 1.000 kg/m3, ỡ ≈ 0,001 kg/m.giây), tốc độ quay N sẽ được sẽ chỉ cần lớn hơn 0,024 phút -1.

Tuy nhiên, trong vận hành thông thường, các trị số N là từ 40 đến 60 vòng/phút, tức 0,7 đến 1 vòng/giây, và các trị số NReilà từ 1 đến 3ì107.

Nhu cầu năng lượng cho việc khuấy trộn được xác định theo kinh nghiệmvà theo các đặc điểm kỹ thuật của thiết bị khuấy trộn. Thông thường, để khuấy trộn kỹ những huyền dịch có độ đậm đặc vừa phải thì cần từ 20 đến 50kw/1000m3. Còn đối với các huyền dịch có độ đậm đặc cao thì có thể cần từ 100 đến 250kw/1000m3, và bán kính tác dụng của máy khuấy trộn sẽ giảm xuống đáng kể. Vì lẽ đó, các huyền dịch đậm đặc được xử lý dễ dàng trong một nồi phản ứng sâu và có đường kính nhỏ, hơn là trong một nồi nông có đường kính lớn.

Các nhu cầu dinh dưỡng

Muốn biết được có cần bổ sung dinh dưỡng vào các nồi phản ứng bùn hay không thì phải căn cứ vào các nghiên cứu ở quy mô phòng thí nghiệm về sự phân huỷ chất gây ô nhiễm. Như đã đề cập ở một phần trên đây, nếu trong nồi phản ứng có một lượng lớn các chất vô cơ dạng hạt thì khó đo được sinh trưởng của vi sinh vật, và vì thế cũng khó xác định được nhu cầu về nitơ, photpho và các nguyên tố khác.

Để vượt qua khó khăn này, có thể dùng một phương pháp tương tự như phương pháp xác định nhu cầu oxy. Thông thường, nitơ chiếm khoảng 10-14% sinh khối vi sinh vật, và photpho chiếm khoảng 0,5-2%. Tốc độ tiêu dùng nitơ, N, phụ thuộc tốc độ sinh trưởng của tế bào vi sinh vật, mà tốc độ sinh trưởng này thì phụ thuộc vào tốc độ loại bỏ chất hữu cơ. Nếu tốc độ loại bỏ chất hữu cơ được đo bằng đơn vị nhu cầu oxy (COD hoặc BODU) thì tốc độ tiêu dùng nitơ có thể được tính gần đúng theo phương trình (9.10).

rN0,06 ro (9.10)

1 + 0,05 T

Nitơ có thể được bổ sung dưới dạng NH4+ hoặc NO3- , và lượng muối được bổ sung để cung cấp lượng N cần thiết có thể là rất lớn. Ví dụ, nếu dùng NaNO3 thì cần tới 6,1g muối để cung cấp 1g N. Kết quả là nồng độ tổng số của các chất rắn hoà tan tăng lên nhiều.

Một dạng tương tự với phương trình (9.10) có thể được dùng để xác định tốc độ tiêu dùng photpho. Lưu ý rằng photpho thường được cung cấp dưới dạng ortophotphat, PO4-3, và khoảng 3g được cung cấp để có được1g photpho.

rP0,01 ro (9.11)

1 + 0,05 T

Nên tiến hành các nghiên cứu thực nghiệm ở quy mô phòng thí nghiệm nhằm xác định các nhu cầu dinh dưỡng, bởi vì phép tính hệ số tỷ trọng của các quá trình phản ứng nhờ vi sinh vật thì rất khác nhau.

Sự phân huỷ các chất phức tạp, như các chất thường thấy trong đất ô nhiễm, thường dẫn đến một thu hoạch tế bào thấp đến mức đáng ngạc nhiên, và do đó có những đòi hỏi về dinh dưỡng rất thấp. Các nghiên cứu ở quy mô phòng thí nghiệm có thể được tiến hành trong đó chúng ta cung cấp một chất gây ô nhiễm hữu cơ riêng lẻ ở nồng độ dư thừa, và sự phân huỷ nó được theo dõi trong một khoảng nào đó của các nồng độ dinh dưỡng. Khi các chất dinh dưỡng bổ sung được làm cạn kiệt thì có thể thấy tốc độ loại bỏ chất hữu cơ gỉam đi rõ rệt. Sau đó có thể xác định được nhu cầu dinh dưỡng dựa theo phép tính hệ số tỷ lượng, đó là tỷ số giữa lượng chất dinh dưỡng được bổ sung và sự thay đổi về lượng chất hữu cơ, như đã nêu trong hình 9.

Tiền xử lý (Xử lý sơ bộ)

Mở đầu

Mục đích của việc xử lý sơ bộ (hay tiền xử lý, pretreatment) đối với đất ô nhiễm là để loại bỏ các vật liệu không ô nhiễm hoặc ít ô nhiễm, cũng như loại bỏ các vật liệu không phù hợp với quy trình xử lý bùn.

Các chất gây ô nhiễm thường ít nhiều có tính kỵ nước, và sẽ bị liên kết với phần mịn hơn của đất là phần vốn có tỷ lệ bề mặt / khối lượng lớn hơn. Đá, sỏi, và cát nói chung là tương đối sạch và có thể được tách khỏi đất định xử lý trong nồi phản ứng bùn. Những vật liệu này khó tồn tại trong huyền dịch và dễ lắng xuống tại những điểm nào đó ít bị khuấy trộn trong nồi phản ứng, và đó cũng là lý do để cần phải bỏ loại chúng. Ngoài ra những vật rắn lớn nhỏ như cành cây, đồ vật bằng chất dẻo, các bộ phận máy móc, vật liệu xây dựng v.v..., phải bị loại bỏ trước khi xử lý pha bùn.

Có hai phương pháp tiền xử lý đất ô nhiễm

  • Sự tách phân đoạn đất (soil fractionation)
  • Sự rửa đất (soil washing)

Tách phân đoạn đất

Người ta sàng đất bằng các loại sàng có kích thước lỗ sàng khác nhau. Các mảnh vụn lớn như gỗ, chất dẻo, nhựa đường v.v... được loại bỏ ngay, đồng thời các hạt thô trong đất như sỏi và cát thì được tách khỏi các hạt mịn hơn như phù sa, sét, mùn.

Mục đích của việc tách bỏ các hạt lớn ra khỏi các hạt mịn là để tập trung và giảm khối lượng đất cần thiết đưa vào xử lý trong nồi phản ứng bùn. So với các hạt lớn thì các hạt nhỏ có tỷ lệ bề mặt/khối lượng lớn hơn, và có hoạt tính là bề mặt lớn hơn, do đó hấp phụ một lượng lớn các chất gây ô nhiễm, tính trên một đơn vị khối lượng. Lượng chất hữu cơ trong các phần khác nhau của đất được nêu trong bảng 9.1. Đó là các số liệu thu được từ những nghiên cứu về đất tại một cơ sở sản xuất hoá chất. Trong những trường hợp khác thì các con số cụ thể của bảng này sẽ khác đi nhiều, tuỳ thuộc đặc tính của chất gây ô nhiễm cũng như của đất, nhưng mẫu chung về sự phân bố chất hữu cơ trong đất thì về cơ bản là như đã nêu trong bảng đó. Hắc ín bao gồm chủ yếu là những chất lỏng không phải nước, và chúng thường có mặt với những lượng nhỏ trong đất ô nhiễm. Nếu có thể thì cần loại bỏ riêng chúng

Bảng 19.1. Sự phân bố COD theo các hợp phần của đất

Hợp phần % khối lượng % COD
Các hạt thôCác hạt mịnHắc ínNước 29550,315,7 2,988,88,80

Rửa đất

Việc rửa đất có cùng mục tiêu như việc tách phân đoạn đất, đó là tách các hạt mịn bị ô nhiễm nhiều ra khỏi các hạt lớn bị ô nhiễm ít hơn . Tuy nhiên, do trong quá trình rửa có sự hoà tan chất gây ô nhiễm, nên các hạt lớn có thể được làm sạch đến mức có thể vứt bỏ đi một cách ít tốn kém. Như vậy, đôi khi việc rửa đất được dùng như một công nghệ riêng rẽ về xử lý nhằm giảm đáng kể khối lượng đất ô nhiễm. Rửa đất là một quá trình tốn kém, được cơ giới hoá cao, và nói chung là không kinh tế, trừ khi hơn 70% khối lượng đất đem rửa phải được rửa tới mức sạch [183].

Tại Mỹ, việc rửa đất được áp dụng lần đầu tiên vào thập kỷ 1980 [188]. Một số hãng đã đưa ra những cải tiến so với những khái niệm cơ sở mà hầu hết vốn dựa trên những cơ chế và nguyên tắc được dùng trong khai mỏ và chế biến quặng.

Hầu hết các quá trình rửa đất bắt đầu bằng việc sàng thô đất để loại bỏ các mảnh vụn lớn và những vật liệu không mong muốn khác, như vật liệu bằng chất dẻo và các viên đá lớn. Sau đó nước được bổ sung để tạo thành bùn. Sau đó là việc làm sạch các hạt lớn, được tiến hành trong các hộp cọ xát [183]. Các cánh khuấy quay để tạo ra sự va chạm cơ học nhằm phá vỡ các cục đất. Sự cọ rửa bùn như vậy dẫn đến việc phân tách giữa các hạt đất nhỏ và lớn, và việc rửa các hạt lớn bởi sự cọ xát bề mặt. Sự rửa các hạt cũng có thể đạt được nhờ một dòng ngược.

Sau khi rửa, người ta tiến hành phân loại sơ bộ các hạt dựa theo kích thước của chúng, nhờ các kỹ thuật trống quay (trommels), tức sàng quay (rotary screens), xoáy thuỷ lực (hydrocyclones), hoặc sàng rung (vibrating screens).

Các hạt có đường kính lớn hơn 74ỡm thường sạch đến mức có thể loại bỏ [188]. Các chất rắn còn lại mà đi qua sàng thì sau đó được tách khỏi nước rửa nhờ sự sa lắng (các hạt nặng) hoặc nhờ sự tuyển nổi (các hạt nhẹ). Cần theo dõi mức độ tập trung kim loại vì những vấn đề về độc tính có thể nảy sinh. Nước rửa có thể tái tuần hoàn và được dùng như nước nguyên (sạch) ở dòng vào, hoặc có thể được xử lý trước khi thải vào hệ thống cống rãnh chung.

Sụ rửa đất có thể có một số thay đổi như:

  • Làm nóng nước để rửa, nhằm tăng cường sự hoà tan của các chất gây ô nhiễm.
  • Bổ sung các chất hoạt động bề mặt hoặc các chất khác, để tăng cường sự giải hấp và sự hoà tan các chất kị nước.
  • Bổ sung axit để kết tủa kim loại, và đôi khi
  • Bổ sung kiềm để cải thịên sự tách chiết axit hữu cơ, như trường hợp của pentaclorophenol [188].

Lưu ý rằng các chất bổ sung có thể làm cho quá trình xử lý sơ bộ trở nên phức tạp hơn, cả với đất cũng như với nước rửa thải ra, và vì thế phải được dùng rất thận trọng.

Dưới góc độ kinh tế thì rửa đất là một xử lý thích hợp cho các loại đất pha cát, đất thô, hơn là cho các loại đất sét. Với các loại đầu, thì một phần lớn khối lượng đất đem rửa có thể thu hồi thành đất sạch, vì trong đất đem rửa ấy, phần chủ yếu là các hạt lớn. Cần tiến hành các nghiên cứu khả thi để xác định xem liệu trong một trường hợp cụ thể, xử lý sơ bộ bằng cách rửa đất có kinh tế hay không. Vì những mục đích của xử lý pha bùn, việc tách phân đoạn đất đạt được mục đích giống như của xử lý theo kiểu rửa đất, đó là loại bỏ các hạt lớn hơn, và chúng dễ đựơc huyền dịch hoá và được trộn hơn. Việc tách phân đoạn có thể được áp dụng nhiều hơn khi các nồng độ thấp của chất gây ô nhiễm chiếm ưu thế , và chất gây ô nhiễm tập trung ở các hạt nhỏ. Tuy nhiên, việc xử lý các hạt đất lớn hơn có thể vẫn là cần thiết.

Xử lý thật sự

Mở đầu

Trên đây đã nói rằng xử lý pha bùn có thể được tiến hành theo một trong ba phương thức: kiểu từng đợt, kiểu nửa vời, hoặc kiểu dòng liên tục. Những xử lý bên trong (in situ) nhỏ thường được tiến hành theo kiểu từng đợt. Những khu vực lớn để ngăn cách bùn ô nhiễm hoặc đất thải bỏ có thể được xử lý in situ bằng cách chia chúng thành nhiều ô bằng các thanh đóng sâu xuống như cọc. Các ô đó có thể được xử lý tuần tự bằng các máy khuấy trộn di chuyển được, cùng với các thiết bị thông khí, nếu thời gian xử lý không bị giới hạn.

Về phần các xử lý tại chỗ (on site), trong đó dùng các nồi xử lý tách biệt nhau cho việc bổ sung hoá chất, cũng như cho việc tách các chất rắn (xem hình 9.1), thì thích hợp nếu khối lượng cần xử lý là nhỏ hoặc nếu thời gian xử lý không bị hạn chế.

Về phía các xử lý theo kiểu dòng liên tục, như trên đã đề cập, chúng ít phổ cập do phải có thời gian lưu nước lâu và do khó có thể di chuyển đất và bùn [184].

Vật liệu cấy

Để tạo ra và sử dụng vật liệu cấy cho mỗi phản ứng pha bùn thì cần cân nhắc ba điều đặc biệt quan trọng sau đây:

  • Tạo ra một quần thể vi sinh vật thích hợp
  • Đưa vào nồi xử lý một mật độ vi sinh vật phù hợp, và
  • Kiểm soát độ độc.

Quần thể vi sinh vật

Một loài, hoặc mỗi chủng trong một loài, chỉ có thể thực hiện một số phản ứng phân huỷ. Trong hầu hết các trường hợp thì nếu một loài có khả năng mỏ đầu sự phân huỷ hiếu khí một chất nào đó thì nó có khả năng oxy hoá các nguyên tử cacbon trong đó tới CO2 . Một phần bộ khung cacbon của các chất phức tạp có thể được trở lại pha lỏng bởi vì một cấu trúc liên kết đặc biệt có thể không bị phá vỡ. Trong những trường hợp như vậy, các loài khác có thể sinh trưởng trên các sản phẩm mà loài mở đầu tạo ra. Vào lúc mà phần không bị phá phuỷ có thể là độc đối với vi khuẩn phân huỷ mở đầu, và không có loài thứ hai tiêu dùng nó đi thì độ độc có thể tích luỹ tới mức làm cho hệ thống dừng hoạt động. Thông thường, mỗi bứơc phản ứng của sự phân huỷ là do một số loài thực hiện, và số lượng tương đối của mỗi loài hoặc mỗi nhóm có mặt thì phụ thuộc vào cácđiều kiện môi trường (nhiệt độ, pH, sự có mặt của những kim loại đặc biệt, ...). Các quần thể hỗn hợp hoặc các giống hỗn hợp hầu như luôn luôn bền vững hơn so với các giống thuần khiết, trong quá trình xử lý. Loài có mặt thực sự có thể thay đổi nhiều theo thời gian, đó là những thay đổi môi trường tại nơi xử lý hoặc ở phạm vi rộng hơn. Tuy nhiên, nếu dùng giấy hỗn hợp thì có thể giảm thiểu ảnh hưởng của những thay đổi về điều kiện môi trường tới quá trình xử lý, vì có nhiều loài có thể thực hiện các phản ứng phân huỷ.

Việc tạo ra vật liệu cấy

Hình 9.6 và bảng 9.2 minh hoạ các bước tiến hành để tạo ra vật liệu cấy dùng cho mục đích phục hồi sinh học. Bước đầu tiên thường là thu thập các mẫu từ một số nguồn được biết là có chứa một phổ rộng các loài vi khuẩn, ví dụ từ các trạm xử lý nước thải theo phương pháp bùn hoạt tính, hoặc từ các đất nông nghiệp . Đất ô nhiễm và bùn ô nhiễm cần được xử lý cũng có thể là một nguồn vi sinh vật như vậy, nhưng nếu thế thì có một câu hỏi nảy ra là “ Tại sao đất hay bùn ấy vẫn còn ô nhiễm”?. Một hỗn hợp các nguyên vật liệu từ mỗi nguồn nói trên có thể được dùng để mở đầu việc nuôi trong phòng thí nghiệm. Đầu tiên, người ta nuôi một số chủng bằng cách dùng: các cơ thể của từng nguồn nói trên nuôi riêng rẽ, hỗn hợp giữa các cơ thể, và các đối chứng. Nừu không biết gì về tính độc của vật liệu bị ô nhiễm thì cần phải thử một dãy nồng độ . Nừu xử lý pha bùn đã là một sự lựa chọn đúng đắn thì các chất gây ô nhiễm thường không bay hơi, và khi ấy có thể thông khí cho các mẫu xử lý bằng biện pháp thông khí nhờ khuyếch tán hoặc hoặc bằng cách lắc. Nếu có khả năng sinh ra khí độc thì các khí thoát ra phải được cho qua than hoạt tính và nồng độ cuối cùng phải được theo dõi . Nồng độ chất gây ô nhiễm có thể được đo thông qua thông số đại diện, như COD chẳng hạn. Đôi khi việc đo COD là không thích hợp, ví dụ như một chất gây ô nhiễm đặc biệt có mặt tại ở nồng độ tương đối thấp cần phải được loại bỏ mà không cần quan tâm đến sự loại bỏ toàn bộ các chất hữu cơ.

Hình 9.6. Trình tự các bước trong việc tạo ra các chủng giống vi sinh vật để dùng cho các nồi phản ứng pha bùn. Các bước tiến hành đối với nguồn A cũng là cho các nguồn khác. Những chủng sinh trưởng tốt có thể được hỗn hợp với nhau ở bước cuối cùng.

Các số liệu về giai đoạn đầu tiên của sự phát triển quần thể sẽ là cơ sở để nuôi các vi sinh vật thích hợp, và dẫn đến thông tin ban đầu về các nồng độ có thể xử lý. Trong nhiều trường hợp có thể tạo ra các chủng giống có khả năng xử lý những nồng độ cao hơn nhiều so với được quan sát thấy trong hàng loạt đầu tiên của các thực nghiệm. Nguyên nhân có thể là do sự phát triển chậm của các quần thể thứ cấp, những quần thể này phân huỷ các sản phẩm phụ có tính độc. Trong bất kỳ trường hợp nào thì việc nghiên cứu hơn nữa về các nồng độ giới hạn cũng đều là thích hợp.

Các chủng giống được cho là thích hợp sẽ được cho sinh trưởng trong những nuôi cấy tích luỹ trong đó có bổ sung liệu ô nhiễm, thông khí và khuấy trộn, cho tới khi các chất ô nhiễm bị phân huỷ, cho phép các chất rắn được tách ra, loại bỏ chất lỏng nổi phía trên, và bổ sung thêm nữa bùn ô nhiễm. Việc theo dõi số lượng tế bào bằng các kỹ thuật vi sinh vật học chuẩn mực (ví dụ việc đếm trên đĩa thạch) cũng rất nên làm. Những mật độ vi sinh vật trong nồi phản ứng bùn lúc bắt đầu hoạt động sẽ là lớn hơn 108 tế bào/mL.

Bảng 9.2. Các bưpớc tiến hành để tạo ra chủng giống vi sinh vật cho các nồi phản ứng bùn

Bước Mục tiêu Nhận xét
1.Lựa chọn các nguồn vi sinh vật Tìm các nhóm hoặc các loài vi sinh vật có khả năng phân huỷ các chất gây ô nhiễm Nên dùng trên một nguồn, trong đó luôn luôn có đất và bùn hoạt tính
2.Nuôi các chủng giống trong phòng thí nghiệm Chọn các nguồn vi sinh vật tốt nhất để dùng về sau Việc trộn hỗn hợp các nguồn có thể là sự lựa chọn tốt nhất
3. Xác định động học và các thông số của phép tính hệ số tỷ lượng Xác lập thiết kế và các thông số vận hành Bước này quy định việc thiết kế hệ thống vận chuyển oxy và các nhu cầu bổ sung dinh dưỡng
4. Xác định các giới hạn về độc tính Xác lập các giới hạn về nồng độ trong vận hành Tính độc với vi sinh vật là một vấn đề phổ biến
5. Tăng mật độ quần thể Cung cấp vi sinh vật cho các quá trình xử lý Nói chung, mật độ quần thể càng cao thì càng tốt.

Lựa chọn nồi phản ứng

Nếu khối lượng đất cần sử lý không lớn, và thời gian để xử lý không bị hạn chế thì nên dùng các nồi phản ứng theo mẻ (batch reutor). Có thể phải dùng đến các thùng (holding tanks) để pha chế hỗn hợp dinh dưỡng để chứa chủng giống vi sinh vật sẽ đưa vào bùn để xử lý. Xử lý theo kiểu đợt là có ích nếu động học của sự phân huỷ là một hàm số bậc nhất của nồng độ chất gây ô nhiễm, khi ấy sự phân huỷ ban đầu hầu như rất nhanh, khi mà nồng độ chất gây ô nhiễm là cao nhất. Thông thường thì sự phân huỷ này trải qua một giai đoạn mở đầu (tiềm phát, lag period), bởi vì trong hầu hết trường hợp, vật liệu cấy được chế tạo từ một chủng ở dạng dịch thể, và vì các vi sinh vật dùng để xử lý – mặc dù chúng là các cơ thể bản địa (indigenous), nhưng chúng vẫn cần một thời gian để thích ứng với các điều kiện môi trường mới của nồi phản ứng bùn.

Ví dụ 9.3. Sự giới hạn tốc độ giải hấp

Người ta tiến hành phục hồi một bùn đất ô nhiễm trong nồi phản ứng bùn; bùn này có nồng độ chất rắn 10kg/m3. Nồng độ chất gây ô nhiễm trong đất, s, tính theo COD đo đượclà 320mg/kg đất khô , và nồng độ trong chất lỏng có thể cho phép (vì độ độc) là 50mg/L. Dựa trên các nghiên cứu phòng thí nghiệm thì KSD= 2x10 -2 m3/kg, hệ số tốc độ giảI hấp KLa = 2 mỗi ngày , và sự phân huỷ sinh học là hàm số bậc nhất của nồng độ COD hoà tan với hệ số tốc độ k = 0,05 mỗi ngày.

Hãy tính thời gian cần thiết để loại bỏ 90% các chất gây ô nhiễm ra khỏi đất. Giả thiết rằng có thể đạt được sự khuấy trộn đồng đều, và rằng sự loại bỏ được tính theo đơn vị khối lượng.

Bài giải

1. Viết các phương trình cân bằng khối lượng đối với đất và đối với pha lỏng (phương trình 9.4a và 9.5b)

2. Phương trình thay thế (9.3)

Mđất = (1m3)(10kg/m3)(s kg/kg)

= (10kg)(KSD m3)(Cs kg/m3)

= (0,2m3)(Cs kg/m3) = (0,2m3)(Cs mg/L)

3. Xác định các điều kiện ban đầu dựa trên cơ sở khối lượng đơn vị:

so = 3,2 x 10 -4 kg COD/kg đất

= 1,6 x 10-2 m3/ kg = 16 mg/L

4. Các phương trình vi phân thông thường có thể được giản bằng số học . Thời gian cần thiết để xóa bỏ 90% các chất ô nhiễm ra khỏi đất kà khoảng 250 ngày, được biểu thị trên hình 9.7

Hình 9.7. Tổng lượng chất gây ô nhiễm trong đất và trong chất lỏng phụ thuộc vào thời gian, trong ví dụ 9.3

Về phần các vận hành theo kiểu dòng liên tục , chúng có một số ích lợi được trình bày dưới đây:

  • Thường không có giai đoạn mở đầu: Một dòng hồi lưu từ dòng ra của hệ thống có tác dụng cung cấp cho dòng vào rất nhiều vi sinh vật có hoạt tính cao và đã thích ứng.
  • Điều này đặc biệt có ích khi dòng vào chứa các chất bay hơi. Nếu không có giai đoạn mở đầu thì sự phân huỷ các hơi chất bay hơi bắt đầu ngay khi dòng vào đi vào nồi phản ứng, và lượng chất bay hơi giảm xuống.
  • Việc duy trì một mật độ vi sinh vật nhờ sự hồi lưu cũng có thể là cần thiết nếu tốc độ phân huỷ phụ thuộc vàosố lượng vi sinh vật có hoạt tính.
  • Sự pha loãng nhanh chóng trong dòng vào. Những nồng độ cao của các chất gây ô nhiễm hoặc các chất gây độc như các kim loại chẳng hạn được pha loãng ngay, như vậy làm hiệu quả ức chế có thể có của chúng đối với vi sinh vật.
  • Có thể áp dụng để xử lý một số lọai đất trong một khoảng thời gian ngắn hơn so với bằng phương pháp xử lý từng mẻ(= đợt), vì đất được đưa liên tục vào nồi phản ứng và không có thời gian chờ đợi giữa các mẻ. Tuy nhiên, do sự bơm liên tục mà chi phí có thể là quá cao, nhất là phảI tính đến điều là các quá trình xử lý pha bùn đòi hỏi thời gian lưu tính bằng ngày hoặc tuần , trong khi đó phương pháp bùn hoạt tính dựa trên cùng nguyên lý nhưng có thời gian lưu ngắn hơn nhiều.

Còn các xử lý theo mẻ không hoàn toàn, chúng là giải pháp trung gian giữa kiểu theo mẻ và kiểu dòng liên tục.

  • So với phương pháp dòng liên tục, chúng đòi hỏi chi phí ít hơnvề năng lượng vì các bơm chỉ hoạt động gián đoạn.
  • So với phương pháp theo mẻ, việc xử lý đất là nhanh hơn vì không có thời gian trống giữa các mẻ.
  • Ngoài ra là các lợi ích khác có được do đặc thù của kiểu xử lý này:
  • Với các nồi phản ứng được lắp đặt kế tiếp nhau, nồi thứ nhất có thể được dùng để tạo bùn , nồi thứ hai cho việc thông khí và khuấy trộn, còn nồi thứ ba cho việc làm lắng và tách chất lỏng ra khỏi chất rắn. Một dòng hồi lưu từ nồi cuối cùng tới nồi đầu tiên có thể cung cấp các vi sinh vật đã thích ứng và có hoạt tính.
  • Vì rằng cùng một lúc sự phân huỷ có thể diễn ra ở cả ba nồi phản ứng nên thời gian lưu có hiệu quả có thể được tăng lên.

Về kích thước của mỗi nồi phản ứng thì phải căn cứ vào thời gian trữ nước (hydranlic retention time, HRT) cần thiết cho xử lý:

V = Q HRT

Trong đó : V là khối lượng nồi phản ứng và Q là tốc độ dòng bùn. Thời gian trữ nước thì phụ thuộc vào khả năng phân huỷ sinh học của chất gây ô nhiễm, các nồng độ ban đầu và mức độ xử lý cần đạt đến . Thông thường , động học của sự phân huỷ được đơn giản hoá thành dạng bậc nhất:

C = Co e-kt

Trong đó C = nồng độ , kg/m3, ở thời gian t, ngày

Co = nồng độ ban đầu, kg/m3

k = hằng số tốc độ phân huỷ, mỗi ngày.

Ví dụ 9.4. Thiết kế nồi phản ứng bùn

Trong bột khu vực có các bồn chứa ngầm, đất bị ô nhiễm chứa khoảng 650 ppm hydrocacbon dầu mỏ tổng số ( total petroleum hydrocacbons, TPH) dưới dạng diesel. Khi sử lý đất này ở quy mô phòng thí nghiệm thì sự phân huỷ những hdrcacbon dầu mỏ có thể được biểu thị gần đúng bằng một mô hình tốc độ bậc một với thời gian bán huỷ là 15 ngày. Nếu dùng một nồi phản ứng pha bùn theo kiểu dòng liên tục thì:

a/ Hãy xác định thời gian trữ nước cần thiết để giảm nồng độ các chất

gây ô nhiễm tới bằng hoặc dưới 100 ppm.

b/ Nồi phản ứng ấy phải có dung tích bao nhiêu nếu tốc độ dòng bùn là 6m3/ngày.

c/ Cần bao nhiêu thời gian để xử lý 400m3 đất, biết rằng 1m3 tạo thành

4m3 bùn.

Bài giải:

  1. Tính hằng số tốc độ phân huỷ, dựa vào thờig gian bán huỷ 15 ngày:

C = Co e– kt

Trong đó:

C = 0,5 = e– k(15)

2. Sau đó có thể tính thời gian trữ nước bằng cách thay thế các trị số của Co, C, và k trong phương trình (9.13):

100 = 650 e0,46 t

t = HRT = 41 ngày.

Lưu ý rằng, trong thực tế, tức ở trong quy mô lớn, thời gian trữ nước sẽ là lớn hơn so với ở quy mô phòng thí nghiệm. Tốc độ phân huỷ trong các hệ thống lớn là thấp hơn, nhất là khi một mô hình tốc độ bậc một là không thể đúng trong toàn bộ khoảng nồng độ, và khi sự vận hành ở quy mô lớn không có môi trường được kiểm soát tốt về tính đồng nhất, như ở quy mô phòng thí nghiệm. Kết quả là các khối lượng của môi trừơng phản ứng….. sẽ lớn hơn so với tính toán dựa trên các số liệu của phòng thí nghiệm.

3. Dung tích nồi phản ứng

Vchất lỏng = Q HRT = (6 m3/ngày)( 41ngày) = 246m3

Khoảng trống phía trên khối chất lỏng trong nồilà một phần (f) của dung tích tổng số của nồi. Thường thì người ta lấy f = 0,05.

f Vtổng = 13m3

Vtổng = 259 m3

Các chiều của nồi phản ứng có thể vào khoảng 4m chiều sâu và 9,5m đường kính (283m3). Độ cao khoảng trống ở đỉnh nồi sẽ là 500mm, đó là độ cao cần thiết để đề phòng sự sinh bọt.

4. Tính thời gian cần thiết để xử lý 400m3 đất

Các thông số vận hành và sự kiểm soát quá trình

Mở đầu

Qua các phần trên đâychúng ta đã thấy sự phục hồi đất thông qua xử lý pha bùn là một quá trình cơ giới hoá cao và đòi hỏi nhiều năng lượng. Bởi vậy để đảm bảo cho quá trình xử lý đạt hiệu quả cả về chất lượng và kinh tế thì cần phải kiểm soát một số thông số. Những thông số quan trọng nhất :

  • Nồng độ các chất rắn của bùn
  • Nồng độ oxy hoà tan
  • Các thông số khác bao gồm:
    • Nhiệt độ
    • pH
    • Sinh khối vi sinh vật

Ngoài ra, các vấn đề nảy sinh trong vận hành cũng cần được kiểm soát, như:

  • Sự phát tán khí
  • Sự tạo thành bọt, và
  • Sự hấp thụ chất gây ô nhiễm.

Dưới đây sẽ thảo luận về việc kiểm soát một số thông số và các vấn đề đã nêu.

Nồng độ các chất rắn

Bùn xử lý nên có nồng độ các chất rắn như thế nào, điều đó phụ thuộc trước hết vào thiết kế của nồi phản ứng, loại đất cần xử lý, và nồng độ chất gây ô nhiễm. Trong các xử lý in situ thông thường người ta chọn nồng độ các chất rắn từ 5 đến 20% [201]. Như vậy, nếu lớp bùn là dầy và sự huyền phù hoá triệt để là khó thực hiện thì có thể phải chia khu vực xử lý thành các ô để kiểm soát lượng các chất rắn tại trạm xử lý. Trái lại trong các xử lý on-site thì nói chung dễ xử lý bùn tốt hơn ở các nồng độ chất rắn cao hơn. Ví dụ, với một nồi phản ứng thép được thiết kế có phần đáy thót lại, có bộ phận thông khí và có cánh khuấy mạnh,thì có thể xử lý bùn có nồng độ các chất rắn tới 50%. Một nồi phản ứng được thiết kế tốt thì trong đó các chất rắn được giữ ở huỳnh dịch mà không lắng xuống. Thế mà, một hàm lượng chất rắn cao thì tương ứng với thời gian xử lý ngắn hơn, hoặc nồi phản nhỏ hơn, điều mà chúng ta mong muốn.

Tuy nhiên, hàm lượng chất rắn cao có thể gây ra hai vấn đề:

  • Một là, khi ấy nồng độ chất gây nhiễm là cao và có thể là độc đối với vi sinh vật. Trong trường này thì đành phải chấp nhận vận hành ở hàm lượng chất rắn thấp hơn để pha loãng chất gây ô nhiễm ấy.
  • Hai là, tốc độ chuyển khối của oxy bị giảm xuống. Nguyên nhân là ở chỗ oxy phải được xâm nhập vào chất lỏng và được hoà tan trong đó trước khi nó có thể được cung cấp cho vi sinh vật. Có hai nhân tố ảnh hưởng trực tiếp đến sự vận chuyển oxy, đó là nồng độ các chất rắn và tốc độ dòng không khí.

Tốc độ vận chuyển oxy cực đại trên một đơn vị khối lượng bùn, theo kết qảu thực nghiệm của Andrews [ ], thì tăng theo sự tăng tốc dòng không khí và giảm theo sự tăng hàm lượng các chất rắn; ở hàm lượng các chất rắn trên 40% thì tốc độ vận chuyển oxy là rất nhỏ và hầu như không phụ thuộc tốc độ dòng không khí.

Tốc độ vận chuyển oxy cực đại được tính theo phương trình sau đây:

ro2 max = KLaC (1-w) (9.14)

p

trong đó KL = Hệ số chuyển khối, m/giây

a = Bề mặt tiếp giáp khí- lỏng m2/m3

C = nồng độ oxy, g/m3

w = Hàm lượng chất rắn của bùn, kg chất rắn/ kg nước

p = Tỷ trọng của chất lỏng, g/m3

Theo các quan sát bằng mắt thường của Andrews [ 180], Joosten và cộng sự [190] thì một hiện tượng phù hợp với phương trình (9.14), đó là sự kết tụ các bóng khí tăng lên theo sự tăng nồng độ các chất rắn. Andrews ghi nhận rằng đối với nước không chứa chất rắn thì sự tăng tốc độ dòng không khí làm tăng số lượng bóng khí nhưng kích thước của chúng hầu như không đổi. Kết quả là có sự tăng bề mặt tiếp giáp (a) giữa chất khí và chất lỏng do đó làm tăng sự chuyển khối. Tuy nhiên, với chất lỏng có nồng độ chất rắn cao thì dường như sự tăng tốc độ dòng không khí làm tăng kích thước các bóng khí mà không làm thay đổi nhiều số lượng của chúng, nghĩa là không làm tahy đổi sự kết tụ. Với một bùn đậm đặc chúng ta có thể thấy những bóng khí này vỡ ra ở bề mặt bùn. Một sự tăng kích thước bóng khí trong điều kiện số lượng chúng không tăng thì sẽ làm tăng đôi chút bề mặt tiếp giáp giữa khí và nước, do đó dẫn đến sự tăng nhẹ tốc độ chuyển khối.

Sự phục hồi sinh học đất ô nhiễm thông qua xử lý pha bùn, thường đwocj tiến hnhf hầu như dễ dàng theo từng mẻ tương đối nhỏ, để tránh những khó khăn cố hữu trong việc khuấy trộn và thông khí. Trong hầu hết các quá trình vận hành, hàm lượng chất rắn được áp dụng là từ 10 đến 40% [199]. Tuy nhiên vẫn thấy có các báo cáo trong đó áp dụng các hàm lươọng chất rắn thấp tới 5% và cao tới 50% [192].

Ví dụ 9.5. Xác định độ đậm đặc của bùn

Ba trăm yard

Yard: đơn vị đo chiều dài của Anh, = 0,914m
khối đất được đào bới để xử lý trong một nồi phản ứng pha bùn. Đất có hàm lượng ẩm (w) bằng 0,19g/gđất…….. bằng 2,65g/m2, và dung trọng bằng 1,2 g/mL. Nếu đất được xử lý từng mẻ 20m3 thì lượng nước phải cho vào mỗi mẻ là bao nhiêu để tạo bùn có 25% chất rắn theo trọng lượng?; Và mật độ đặc đậm đặc của bùn ấy là bao nhiêu?

Bài giải

1. Tính khối lượng các chất rắn, Ms, trong 20m3 đất, dựa vào dung trọng của đất:

pb = khối lượng các chất rắn = 1,2g/mL = 1.200kg/m3

khối lượng tổng số

Ms = pbVt= (1.200kg/m3)(20m3) = 2.400kg

  1. Tính khối lượng nước trong bùn:

0,25 = khối lượng các chất rắn = Ms

Khối lượng bùn Ms+Mw

0,25 Mw = (1- 0,25) Ms

Mw = 3 Ms

= 3 (24.000kg) = 72.000kg

3. Xác định khối lượng nước có mặt lúc đầu trong đất.

Msw = w Ms= (0,19)24.000kg = 4.560kg

Ghi nhận rằng khoảng 6% nước dùng để tạo thành bùn thì bắt nguồn từ nước có mặt lúc đầu trong đất.

4. Xác định khối lượng và thể tích của nước phải cho vào

Mw cho vào = 72.000kg - 4.560 kg = 67.440 kg

Vw= Mw cho vào = 67.440kg = 67,4m3

pw1.000kg/m3

5. Xác định độ đậm đặc của bùn pbùn

pbùn = Khối lượng các chất rắn + Khối lượng nước

Thể tích các chất rắn + Thể tích nước

=Ms + Mw

V s + V w

Vs =Ms = 24.000kg = 9,06 m3

ps2,65kg/m3

pbùn = 24.000kg + 72.000kg

9,06 m3 + 72 m3

= 1.184kg/m3 = 1,18 kg/L

Nhu cầu oxy và sự thông khí

Như đã đề cập trong chương này, phục hồi sinh học pha bùn là một quá trình kiếu khí, do đó một trong những thông số vận hành quan trọng nhất là nồng độ oxy hoà tan (dissolvel oxygen, DO) đảm bảo các điều kiện hiếu khí bên trong các hạt đất, cần phaỉ duy trì một nồng độ DO tối thiẻu là 2 mg/L.

Các thiết bị thông khí dùng phổ biến thì được mô tả ở phần trên của chương này.Không giống như trong các quá trình xử lý nước thải thông thường, trong các nồi phản ứng dùng để phục hồi sinh học pha bùn, nhu cầu năng lượng dùng cho khuấy trộn là lớn hơn so với nhu cầu năng lượng dùng choi sự thông khí. Với các bùn đậm đặc, vốn được khuấy trộn bằng các máy khuấy trộn kiểu cánh khuấy, thì có thể cần đến các hệ thống khuấy và hệ thống thông khí tách biệt nhau. Việc khuấy trộn có tác dụng hoà tan và phát tán oxy, cũng như làm tăng bề mặt tiếp xúcgiữa ba pha (rắn, lỏng, và khí). Thông thường, với các huyền dịch đậm đặc thì cần khuấy trộn dọc theo trục cũng như khuấy trộn toả tròn thì mới đạt được sự huyền phù hoá triệt đẻ các chất rắn.

Nhiệt độ

Nhiệt độ môi trường có ảnh hưởng như thế nào đến nhiệt độ của bùn trong nồi phản ứng? Vì nước là chất dẫn nhiệt kém nên những thay đổi nhỏ về nhiệt độ môI trường không gây ra những thay đổi rõ rệt về nhiệt độcủa bùn đang được xử lý. Tuy nhiên, sự phục hồi sinh học pha bùn đòi hỏi thời gian lưu của bùn khá lâu nên có thể thấy sự dao động nhiệt độ bùn là khác nhaugiữa các mùa. Ví dụ, trong một nghiên cứu ở quy mô đồng ruộng, tiến hành ở Canton, MISSISSIPI, Mỹ, đối với đất ô nhiễm PAH [ ], người ta nhận thấy một sự tăng tốc độ và mức độ phân huỷ những chất này ở mùa nóng so với mùa lạnh. Nhiệt độ nồi phản ứng dao động từ 25 đến 40oC trong các mùa xuân, hè, thu so với từ 15 đến 21oC vào các mùa đông. Có thể cần phải khống chế nhiệt độ nếu việc xử lý diễn ra trong những điều kiện thời tiết khắc nghiệt, nơi mà nhiệt độ có thể có thể trở thành nhân tố giới hạn hoạt động của vi sinh vật.

Các chất hoạt động bề mặt và các phụ gia khác

Tác dụng của các chất hoạt động bề mặt đối với sự phân huỷ sinh học là điều còn gây tranh luận, và còn có ít tài liệu về tác dụng này.

Đôi khi các chất ấy được dùng để tăng cường sự giải hấp và sự hoà tan của các chất gây ô nhiễm, do đó tăng cường sự phân huỷ sinh học.

Sau đây là những kết quả và nhận xét khác nhau về việc dùng các chất hoạt động bề mặt.

  • Trong một nghiên cứu ở quy mô pilot để xử lý đất ô nhiễm PAH [ ], người ta nhận thấy rằng vệc đưa chất hoạt động bề mặt Tween 80 không gây ra bất kỳ sự cải thiện đáng kể nào về khả năng phân huỷ
  • Trong một nghiên cứu khác [196], các tác giả cho rằng sở dĩ việc dùng chất hoạt động bề mặt không làm tăng sự phân huỷ sinh học là bởi vì nó được dùng ở dưới nồng độ mixen tới hạn (critical micelle concentration, CMC). Tuy nhiên, ở một nồng độ cao hơn, chất hoạt động bề mặt không điện ly lại ức chế sự phân huỷ sinh học
  • Một số nhà nghiên cứu khác thìtin rằng các chất hoạt động bề mặt có nguồn gốc sinh học thì có tác dụng tăng cường sự phân huỷ sinh học tốt hơn so với các chất hoạt động bề mặt có nguồn gốc cao nhân tạo (tổng hợp). Ví dụ, Castaldi và Ford [185] gợi ý rằng việc duy trì một lượng sinh khối vi sinh vật cao có thể dẫn đến sự sản sinh mạnh mẽ các chất hoạt động bề mặt do vi sinh vật tạo thành. Người ta cho rằng các chất hoạt động bề mặt có nguồn gốc sinh học này tác dụng như những chất nhũ hoá, chúng tăng cường sự giải hấp một số chất ô nhiễm kỵ nước hơn và đưa chúng vào pha lỏng.

Các phụ gia khác là những tác nhân oxy hoá. Trong một số trường hợp chúng được đưa vào bùn để oxy hoá các phân tử chất gây ô nhiễm có độ bền cao và do đó làm cho chúng dễ bị phân huỷ sinh học hơn. Thuốc thử Fenton là một ví dụ, gần đây nó được dùng đẻ phân huỷ các PAH có trọng lượng phân tử cao [184]. Thuốc thử Fenton một ví dụ, gần đây nó được dùng để phân huỷ PAH có trọng lượng phân tử cao [184]. Thuốc thử Fenton, một dung dịch của hydro peroxit và các muối sắt, được dùng để tiến hành một bước oxy hoá hoá học dẫn đến sự hydroxyl hoá các phân tử PAH lớn. Như đã đề cập trong các chương trước đây, sự hydroxyl hoá đối với vong là bước đầu tiên của sự phân huỷ sinh họccác PAH. Đối với các PAH có nhiều vòng thì sự hydroxyl hoá thường bước giới hạn tốc độ phân huỷ sinh học.

Sự phát tán các hợp chất bay hơi

Đó là một vấn đề đáng lo ngại của kỹ thuật xử lý pha bùn, vì theo đó phải khuấy trộn và thông khí liên tục

Đối với các nồi phản ứng nhỏ di chuyển được thì vấn đề này được khắc phục bằng cách trang bị thêm một bộ phận để thu thập và xử lý các khí thải ra (bộ hood). Còn đối với cácnồi phản ứng in situ thì việc trang bị thêm như vậy là khó thực hiện vì bộ hood ấy phải che phủ lên toàn bộ trên nồi,mà nồi này thì lớn.

Hầu hết sự phát tán các hợp chất bay hơi xảy raỉtong một vài ngày đầu tiên của quá trình vận hành, nhát là trong khi nạp vào nồi và khởi động nó.

Lượng các chất hữu cơ bay hơi giải phóng ra thì phụ thuộc vàocác đặc tính và nồng độ của chúng.

Hiệu quả kinh tế của việc che phủ các nồi phản ứng là điều còn chưa rõ ràng, nhất là nếu cần các chất gây ô nhiễm hầu như là không hoàn toàn bay hơi. Chẳng hạn, có tài liệu [194] cho biết rằng sự thoát các khí từ quá trình xử lý pha bùn đối với các chất ô nhiễm PAH cũng không kém gì so với khi vận hành các quá trình xử lý vật lý hay hoá học khác, như thiêu đốt hay giảI hấp bằng nhiệt chẳng hạn.

Sự tạo thành bọt

Đây cũng là một vấn đề thường nảy sinh trong khi vận hành xử lý pha bùn. Theo Glasser và cộng sự [187] thì nguyên nhân của sự hình thành bọt có lẽ là do sự có mặt tự nhiên của các chất hữu cơ trong một số loại đất. Có thể đánh giá khả năng tạo bọt thông qua các nghiên cứu xử lý sơ bộ. Vấn đề về sự tạo thành bọt có xu thế trở nên nghiêm trọng hơnnếu dùng bùn xử lý có độ đậm đặc cao. Có thể khống chế sự tạo thành bọt bằng cách giảm tốc độ khuấy trộn hoặc dùng các chất chống bọt.

Một hồ sơ nghiên cứu

Dưới đây là hồ sơ tóm tắt của một nghiên cứu ở quy mô nhỏ được tiến hành tại Ohio, mỹ, nhằm tìm hiểu ảnh hưởng của các tiêu chuẩn thiết kế được lựa chọn đối với hiệu quả xử lý đất ô nhiễm crosot [187]. Các thông số thiết kế được dùng bao gồm nồng độ các chất rắn, tốc độ khuấy trộn, và việc bổ sung các tác nhân phân tán. Như một thủ tục của tiền xử lý, trước hết đất được sàng để loại bỏ các hạt có đường kính lớn hơn 0,25 inch. Sau đó cho nước vào, và bùn đặc được dẫn qua một xyclon thuỷ lực để loại bỏ phần cát hoặc sỏi.

Các nồi lên men bằng thuỷ tinh có dung tích 8L, được đậy kín để khống chế sự phát tán khí. Mỗi nồi có máy khuấy trộn với tốc độ có thể được điều chỉnh tuỳ ý. Trục máy khuấy được gắn hai bộ cánh khuấy : bộ cánh khuấy phía dưới tạo ra sự khuấy toả tròn, và bộ cánh khuấy phía trên tạo ra sự khuấy dồn xuống phía dưới. Không khí được đưa vào ngaybên dưới cánh khuấy dưới để phân bố thật đều oxy vào chất lỏng. Dòng không khí ấy được điều chỉnh sao cho nồng độ oxy hoà tan được giữ ít nhất ở mức 2mg/L.

Các nồi lên men được vận hành trong thời gain 10 tuần lễ,và được thử nghiệm về hai nồng độ chất rắn: 10 và 30%. Giá trị trung bình của nồng độ PAH tổng số ban đầu của bùn 10% chất rắn là 1.750 ppm, và của bùn 30% chất rắn là là 2.047 ppm. Ở mỗi nồng độ chất rắn thì thử nghiệm hai tốc độ khuấy: một tốc độ cao và nột tốc độ thấp. Tốc độ cao tói đa với bùn 10% là 650 ppm, đối với bùn 30% chất rắn là 900 ppm. tốc đô thấp đối với cả hai laọi bùn là 200 ppm. Một tác nhân phân tán (Westvaco Reax 100M) cũng được thử nghiệm về các kết quả xử lý khả năng làm giảm sự tạo bọt đựơc tóm tắt như sau:

- Nồng độ các chất rắn trong bùn dường như có ảnh hưởng mạnh đến tốc độ loại bỏ và đến các nồng độ cuối cùng của các PAH trong đất ở cuôí của thời kỳ 10 tuần lễ. Hầu hết sự loại bỏ diễn ra trong 7 ngày xử lý đầu tiên. ở bùn 10% chất rắn, các nồng độ PAH tổng số được giảm khoảng 74%, so với sự giảm 82% ở bùn có 30% chất rắn. Trong cả hai trường hợp thì thấy các PAH có 2 đến 3 vòng bị bị loại bỏ nhiều hơn các hợp chất có 4 đến 6 vòng (90% so với 64 đến 75%).

- Nồng độ các chất rắn trong bùn cũng ảnh hưởng tới động học của quá trình loại bỏ. Ở bùn có 10% chất rắn thì sự loại bỏ PAH tiếp diễn suốt thời kỳ thí nghiệm, nồng độ PAN tổng số giảm 50% trong khoảng từ ngày thứ 21 đến ngày thứ 70, và nồng độ cuối cùng đạt mức khoảng 170 ppm. Trong khi đó ở bùn 30% chất rắn thì toàn bộ sự loại bỏ PAH diễn ra trong 21 ngày đầu tiên, và sau đó không có sự giảm đáng kể nồng độ PAH. Ở cuối thời kỳ 10 tuần lễ, PAH vẫn tồn tại dai dẳng ở nồng độ khoảng 300 ppm.

- Các tốc độ khuấy dường như không ảnh hưởng gì đến sự loại bỏ PAH.

- Việc đưa ra tác nhân phân tán vào không làm giảm sự tạo bọt và cũng không làm tăng sự loại bỏ PAH. Sự tạo bọt đã được khống chế tốt hơn bằng cách giảm tốc độ khuấy hoặc sử dụng chất chống bọt.

Câu hỏi

  1. Tạo sao anh/chị nghĩ rằng sự phân huỷ trong bùn có 30% chất rắn dừng lại sau 21 ngày?
  2. Thành phần của ….. chất thải có thể ảnh hưởngđến sự phân huỷ như thế nào?
  3. Tốc độ khuấy có thể nâng cao sự phân huỷ sinh học như thế nào?
  4. Điều gì xảy ra đối với với sinh khối tế bào trong thời gian nghiệm?

Những áp dụng ở quy mô đồng ruộng

Trong khi có rất nhiều tài liệu tham khảo về xử lý pha bùn ở quy mô phòng thí nghiệm và quy mô pilot nhỏ, nhưng lại rất ít tài liệu về các vận hành ở quy mô đồng ruộng. Sau đây là hai trong số rất ít các xử lý pha bùn ở quy mô đồng ruộngđã được Coover và cộng sự công bố [186].

Trong công trình xử lý thứ nhất, xử lý pha lỏng /răn được áp dụng như một phần của quá trình xử lý nhằm phục hồi ba thửa đất chứa bùn dầu mỏ tại một từng là nơi lọc dầu, ở SugarCreek, Montana, Mỹ. Một thửa đất trong số đó, dung tích 19.000m3, được dùng như một nồi phản ứng pha lỏng/rắn, trong khi một thửa khác thì được dùng như một nơI xử lý đất dùng làm nền. Nồi phản ứng pha bùn in situ được lắp các máy trộn và máy thông khí gắn…. và được vận hành theo kiểu từng mẻ. Mỗi mẻ kéo dài từ dưới 60 đến 90 ngày để làm giảm được 66% các nồng độ dầu và mỡ. Một khi đạt đến mỗtử lý này, các chất rắn được làm lắng, sau đó chúng được bơm vào một trạm xử lý đất để có thể xử lý sinh học thêm nữa. Không có kết quả chi tiết nào nữa được thông báo thêm sau đó.

Trong công trình xử lý thứ hai,…… ở quy mô pilot 1 triệu gallon được …..trên bùn dầu mỏ lấy từ môt thửa đất ở trạm lọc dầu tại Gulf Coast, Mỹ. Một bể làm lắng trong đã bỏ hoang, đường kính 47m, được dùng làm nồi phản ứng sinh học. Độ sâu bể ở gần thành bể và ở giữa bể là 2,7m và 4,3m, theo thứ tự. Bùn được…. từ thửa đất nói trên và nạp vào nồi phản ứng trong suốt 5 ngày. Hàm lượng các chất rắn của bùn được khống chế ở mức khoảng 10%.Sau đó các máy thông khí và máy trộn ….. được lắp đặt, nhưng sự thông khí được bắt đầu….., trong thời gain ba ngày, để giảm thiểu sự thoát các chất dễ bay hơi. Vào lúc bắt đầu khuấy trộn, người ta đưa vào nồi phản ứng 83m3( 22.000 gallon) bùn hoạt tính lấy từ trạm xử lý nước thảI của cơ sở lọc dầu. Nồi phản ứng được vận hành như một nồi đơn độc kiểu từng mẻ trong thời gian 8 tuần lễ. Các thông số vận hành được nêu trong bảng 9.3

Bảng 9.3. Các thông số vận hành trong quá trình phục hồi sinh học bằng nồi phản ứng pha bùnở quy mô pilot

C : N : PNhiệt độ, oCpHTốc độ tiêu dùng oxy, mg/LphútSố lượng tế bào vi sinh vật, CFU/mL 100 : 2 : 0,220 – 255,80,2104-108

Hầu hết sự phân huỷ sinh học trong hệ thống diễn ra trong 2 tuần lễ đầu tiên. Những vấn nảy sinh trong vận hành hệ thống này được thông báo là sự tạo bọt (một lớp dầy 10 - 25cm) trong suốt thời gian hoạt động, và sự sa lắng vật liệu xuống đáy nồi (khoảng 25% chất rắn, vào cuối thời gian xử lý).

Sự cân nhắc trước khi áp dụng

Trước khi áp dụngphương pháp xử lý pha bùn, cần cân nhắc những ưu và nhược điểm sau đây của nó:

  • Trong trường hợp xử lý chất thảI độc hại theo phương pháp xử lý pha bùn thì nói chung sẽ còn ít thời gian hơn và ít diện tích hơn so với xử lý theo kiểu làm đất. Điều này đã được chứng tỏ trong một nghiên cứu chuyên sâu về so sánh tốc độ, được thực hiện với vật liệu bị ô nhiễm pentaclorophenol và creosot [198].
  • Các hệ thống xử lý pha bùn cũng được khống chế tốt hơn so với các hệ thống khác dùng để xử lý đất, và vì thế xử lý pha bùn có thể là công nghệ phục hồi sinh học có hiệu quả nhất.
  • Xử lý pha bùn phát thải ra nhiều khí do sự khuấy trộn mạnh và thông khí mạnh, vì thế phương pháp này có thể sẽ không được lựa chọn để xử lý đất bị ô nhiễm các chất hữu cơ dễ bay hơi.
  • Xử lý pha bùn mang tính cơ giới hoá cao (do các hoạt động tiền xử lý, khuấy trộn, và thông khí), do vậy đòi hỏi chi phí cao cho thiết bị vận hành, và có thể giảm chi phí bằng cách áp dụng xử lý pha bùn như một bước sơ bộ trước khi thải bỏ đất, hoặc bằng cách áp dụng nó theo kiểu bán liên tục.