Quy hoạch tuyến tính tổng quát
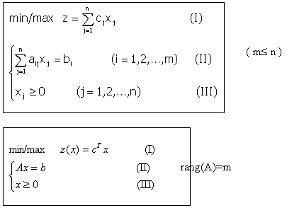
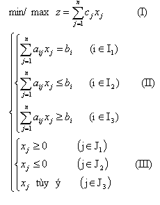
Tổng quát những bài toán quy hoạch tuyến tính cụ thể trên, một bài toán quy hoạch tuyến tính là một mô hình toán tìm cực tiểu (min) hoặc cực đại (max) của hàm mục tiêu tuyến tính với các ràng buộc là bất đẳng thức và đẳng thức tuyến tính. Dạng tổng quát của một bài toán quy hoạch tuyến tính là :
Trong đó :
(I) Hàm mục tiêu
Là một tổ hợp tuyến tính của các biến số, biểu thị một đại lượng nào đó mà ta cần phải quan tâm của bài toán.
(II) Các ràng buộc của bài toán
Là các phương trình hoặc bất phương trình tuyến tính n biến số, sinh ra từ điều kiện của bài toán.
(III) Các các hạn chế về dấu của các biến số
Người ta cũng thường trình bày bài toán quy hoạch tuyến tính dưới dạng ma trận như sau :
Gọi ai (i=1→m) là dòng thứ i của ma trận A, ta có :
Người ta gọi :
- A là ma trận hệ số các ràng buộc.
- c là vectơ chi phí (cT là chuyển vị của c)
- b là vectơ giới hạn các ràng buộc.
Quy hoạch tuyến tính dạng chính tắc
Bài toán quy hoạch tuyến tính chính tắc là bài toán quy hoạch tuyến tính mà trong đó các ràng buộc chỉ có dấu = và các biến số đều không âm.
Người ta có thể biến đổi bài toán quy hoạch tuyến tính dạng tổng quát thành bài toán quy hoạch tuyến tính dạng chính tắc nhờ các quy tắc sau đây :
- Nếu gặp ràng buộc i có dạng ≤ thì người ta cộng thêm vào vế trái của ràng buộc một biến phụ xn+i ≥ 0 để được dấu = .
- Nếu gặp ràng buộc i có dạng ≥ thì người ta trừ vào vế trái của ràng buộc một biến phụ xn+i ≥ 0 để được dấu = .
Các biến phụ chỉ là những đại lượng giúp ta biến các ràng buộc dạng bất đẳng thức thành đẳng thức, nó phải không ảnh hưởng gì đến hàm mục tiêu nên không xuất hiện trong hàm mục tiêu.
- Nếu biến xj ≤ 0 thì ta đặt xj = -x’j với x’j ≥ 0 rồi thay vào bài toán.
- Nếu biến xj là tuỳ ý thì ta đặt 
- Trong trường hợp trong số các ràng buộc có dòng mà vế phải của dòng đó là giá trị âm thì đổi dấu cả hai vế để được vế phải là một giá trị không âm.
Dựa vào các phép biến đổi trên mà người ta có thể nói rằng b ài toán quy hoạch tuyến tính chính tắc là bài toán quy hoạch tuyến tính mà trong đó các ràng buộc chỉ có dấu = , vế phải và các biến số đều không âm.
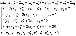
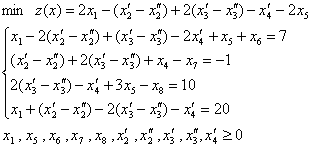
Ví dụ :
Biến đổi bài toán quy hoạch tuyến tính sau đây về dạng chính tắc :
Bằng các thay thế :
ta được :
hay :
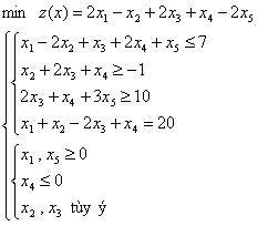
Phương án
Xét bài toán quy hoạch tuyến tính chính tắc :

- x=[x1 x2 ... xn] T là một phương án của (P) khi và chỉ khi Ax = b.
- x=[x1 x2 ... xn] T là một phương án khả thi của (P) khi và chỉ khi Ax = b và x ≥ 0 .
Một phương án tối ưu của (P) là một phương án khả thi của (P) mà giá trị của hàm mục tiêu tương ứng đạt min/max.