Các Định lý Weierstrass

Trong chương này chúng ta sẽ xấp xỉ các hàm số trong không gian C(A) size 12{C \( A \) } {}, không gian các hàm liên tục xác định trên tập A size 12{A} {}, trong đó A size 12{A} {}[a,b],T:=[0,2π) size 12{ \[ a,b \] ,T":=" \[ "0,2"π \) } {}, hoặc một tập compact trong Rn size 12{R rSup { size 8{n} } } {}, hoặc tổng quát hơn là không gian tôpô compact Hausdorff, bởi các đa thức lượng giác khi A=T size 12{A=T} {} và đa thức đại số trong những trường hợp còn lại.

Các khái niệm cơ bản

Giả sử X size 12{X} {} là một không gian của các hàm xác định trên A size 12{A} {}, fX size 12{f in X} {}. Ta cần tìm hàm đơn giản (thuận tiện cho tính toán) φ size 12{φ} {} từ một tập con Φ size 12{Φ} {} của X size 12{X} {} sao cho f size 12{f} {} rất gần với φ size 12{φ} {}.

Không gian X size 12{X} {} thường là không gian định chuẩn hoặc là không gian Bannach của các hàm xác định trên A size 12{A} {}, chẳng hạn như C(A),Lp(A) size 12{C \( A \) ,L rSub { size 8{p} } \( A \) } {} víi 1p. size 12{1„p„ infinity "." } {} Khi X size 12{X} {} là không định chuẩn thì khoảng cách giữa f size 12{f} {}φ size 12{φ} {} được đo bằng PfφPX size 12{Pf - φP rSub { size 8{X} } } {}. Đại lượng PfφPX size 12{Pf - φP rSub { size 8{X} } } {} được gọi là sai số xấp xỉ f size 12{f} {} bëi φ size 12{φ} {}. Tập con Φ size 12{Φ} {} là một tập các hàm số có tính chất đơn giản, thuận tiện cho tính toán. Φ size 12{Φ} {} được gọi là không gian xấp xỉ. Dưới đây là một số không gian xấp xỉ quan trọng.

(a) Φ=Pn size 12{Φ=P rSub { size 8{n} } } {} là một tập các đa thức đại số bậc nhỏ hơn hoặc bằng n size 12{n} {}, tức là tập các hàm có dạng

Pn size 12{P rSub { size 8{n} } } {} thường dùng để xấp xỉ các hàm xác định trên [a,b] size 12{ \[ a,b \] } {}.

(b) Φ=Tn size 12{Φ=T rSub { size 8{n} } } {} là tập các đa thức lượng giác bậc nhỏ hơn hoặc bằng n size 12{n} {}, tức là các hàm xác định trên T size 12{T} {} có dạng

Hoặc

a k e ikx với a n + a n = 0 . a rSub { size 8{k} } e rSup { size 8{ ital "ikx"} } `"víi" \lline a rSub { size 8{ - n} } \lline + \lline a rSub { size 8{n} } \lline { { {}=}}0 "." } {}

Tn size 12{T rSub { size 8{n} } } {} thường dùng để xấp xỉ các hàm xác định trên T size 12{T} {}.

(c) Lớp các hàm spline.

(d) Lớp các sóng nhỏ.

Chúng ta đã biết rằng khi A size 12{A} {} là tập compact thì C(A) size 12{C \( A \) } {} là không gian Bannach với chuẩn

PfP := max x A f ( x ) . size 12{PfP":=" {"max"} cSub { size 8{x in A} } \lline f \( x \) \lline "." } {}

Hai định lý dưới đây sẽ gải quyết vấn đề trên cho trường hợp X=C(A) size 12{X=C \( A \) } {} với A=[a,b]hoặcT size 12{A= \[ a,b \] `"hoặc"`T} {}.

Định lý 1 ( Weierstrass-1 ) Mỗi hàm f size 12{f} {} liên tục trên đoạn [ a , b ] size 12{ \[ a,b \] } {} có thể xấp xỉ bằng đa thức đại số với độ chính xác tuỳ ý, nghĩa là với mỗi ε >0 size 12{ε">0"} {} , tồn tại đa thức đại số P size 12{P} {} sao cho

Pf PP C ( [ a , b ] ) ε . size 12{Pf - PP rSub { size 8{C \( \[ a,b \] \) } } „ε "." } {}

Định lý 2 ( Weierstrass-2 ) Mỗi hàm f size 12{f} {} liên tục trên T size 12{T} {} có thể xấp xỉ bằng đa thức lượng giác với độ chính xác tuỳ ý, nghĩa là với mỗi ε >0 size 12{ε">0"} {} , tồn tại đa thức lượng giác T size 12{T} {} sao cho

Pf TP C ( T ) ε . size 12{Pf - TP rSub { size 8{C \( T \) } } „ε "." } {}

Hai định lý này được chứng minh trong các mục sau, dựa vào các tính chất của một số toán tử tuyến tính đặc biệt.

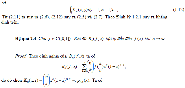
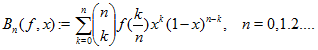
Đa thức Bernstein

Giả sử fC([0,1]) size 12{f in C \( \[ "0,1" \] \) } {}, công thức

xác định một ánh xạ từ C([0,1]) size 12{C \( \[ "0,1" \] \) } {} vào Pn size 12{P rSub { size 8{n} } } {}. Ta gọi Bn(f) size 12{B rSub { size 8{n} } \( f \) } {} là đa thức Bernstein bậc n size 12{n} {} của f size 12{f} {}. Mệnh đề sau cho ta biết các tính chất của Bn: size 12{B rSub { size 8{n} } :} {}

Mệnh đề 3

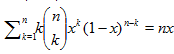
(i) Bn size 12{B rSub { size 8{n} } } {} là toán tử tuyến tính bị chặn với chuẩn 1 size 12{1} {}, xác định dương, tức là PB n P =1, B n ( f ) 0 với f ( x ) 0 x A . size 12{PB rSub { size 8{n} } P"=1,"B rSub { size 8{n} } \( f \) >= 0`"víif" \( x \) >= 0` forall `x in A "." } {}

(ii) Ký hiệu ek(x):=xk,k=0,1,2. size 12{e rSub { size 8{k} } \( x \) ":="x rSup { size 8{k} } ,`k"=0,1,2" "." } {} Ta có B n ( e 0 ) = e 0 , B n ( e 1 ) = e 1 , B n ( e 2 , x ) = e 2 ( x ) + x ( 1 x ) 2 . size 12{B rSub { size 8{n} } \( e rSub { size 8{0} } \) =e rSub { size 8{0} } ,`B rSub { size 8{n} } \( e rSub { size 8{1} } \) =e rSub { size 8{1} } ,`B rSub { size 8{n} } \( e rSub { size 8{2} } ,x \) =e rSub { size 8{2} } \( x \) + { {x \( 1 - x \) } over {2} } "." } {}

Proof. (i). Hiển nhiên Bn size 12{B rSub { size 8{n} } } {} là toán tử tuyến tính và xác định dương. Với mỗi fC([0,1]) size 12{f in C \( \[ "0,1" \] \) } {} ta có Do đó PBn(fP) = PfP

Đặt biệt, với f=1 size 12{f"=1"} {} thì PBn(f)P=PfP size 12{PB rSub { size 8{n} } \( f \) P=PfP} {}. Suy ra PBnP=1. size 12{PB rSub { size 8{n} } P"=1" "." } {}

(ii). Ta có e0=1 size 12{e rSub { size 8{0} } "=1"} {} nên Bn(e0)=e0. size 12{B rSub { size 8{n} } \( e rSub { size 8{0} } \) =e rSub { size 8{0} } "." } {} Ta cũng có

Từ(1.1) suy ra , kết hợp với (1.2) ta có

Vậy Bn(e2,x)=e2(x)+x(1x)n size 12{B rSub { size 8{n} } \( e rSub { size 8{2} } ,x \) =e rSub { size 8{2} } \( x \) + { {x \( 1 - x \) } over {n} } } {}.

Chuỗi Fourier

Giả sử

được gọi là chuỗi Fourier (dạng phức) của f size 12{f} {}, và fˆ(n) size 12{ { hat {f}} \( n \) } {} là hệ số Fourier của f size 12{f} {}. Chuỗi Fourier dạng thực của f size 12{f} {} là chuỗi có dạng trong đó là hệ số Fourier của f size 12{f} {}.

Ta có

như vậy ak size 12{a rSub { size 8{k} } } {}, bk size 12{b rSub { size 8{k} } } {} có thể biểu diễn qua fˆ(k) size 12{ { hat {f}} \( k \) } {}fˆ(k) size 12{ { hat {f}} \( - k \) } {}. Ngược lại ta cũng có fˆ(k)=(akibk)/2. size 12{ { hat {f}} \( k \) = \( a rSub { size 8{k} } - ital "ib" rSub { size 8{k} } \) "/2" "." } {}

Giả sử fL1(T) size 12{f in L rSub { size 8{1} } \( T \) } {}, đại lượng

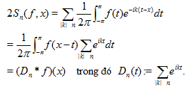
được gọi là tổng Fourier bậc n size 12{n} {} cña f size 12{f} {}. V× PSn(f)fPL1(T) size 12{PS rSub { size 8{n} } \( f \) - fP rSub { size 8{L rSub {1} \( T \) } } } {} có thể không hội tụ đến không khi n size 12{n rightarrow infinity } {}, nên ta không dùng Sn(f) size 12{S rSub { size 8{n} } \( f \) } {} để xấp xỉ f size 12{f} {}. Ta có thể khắc phục nhược điểm này như sau:

Với f,gL1(T) size 12{f,g in L rSub { size 8{1} } \( T \) } {}, tích chập của hai hàm f size 12{f} {}g size 12{g} {} là hàm fg size 12{f*g} {} được xác định bởi

Ta có

Ta gọi Dn(t) size 12{D rSub { size 8{n} } \( t \) } {} là nhân Dirichlet. Đặt

Khi đó ta có

(1.3)

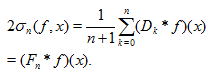
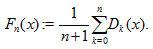
Ta gọi Fn(x) size 12{F rSub { size 8{n} } \( x \) } {} là nhân Fejer. Dưới đây là các tính chất đơn giản của nhân Fejer và nhân Dirichlet.

Mệnh đề 4

(i) Dn size 12{D rSub { size 8{n} } } {}Fn size 12{F rSub { size 8{n} } } {} là các đa thức lượng giác bậc n size 12{n} {}.

(ii)

D n ( x ) = sin ( 2n + 1 ) x 2 sin x 2 F n ( x ) = sin 2 ( n + 1 ) x 2 ( n + 1 ) sin 2 x 2 size 12{D rSub { size 8{n} } \( x \) = { {"sin" { { \( 2n+1 \) x} over {2} } } over {"sin" { {x} over {2} } } } và F rSub { size 8{n} } \( x \) = { { {"sin"} rSup { size 8{2} } { { \( n+1 \) x} over {2} } } over { \( n+1 \) {"sin"} rSup { size 8{2} } { {x} over {2} } } } } {}

(iii) σn size 12{σ rSub { size 8{n} } } {} là toán tử tuyến tính xác định dương, Dn size 12{D rSub { size 8{n} } } {} đổi dấu.

(iv) nP=1 size 12{Pσ rSub { size 8{n} } P"=1"} {}.

Proof. (i) Dn(x) size 12{D rSub { size 8{n} } \( x \) } {}Fn(x) size 12{F rSub { size 8{n} } \( x \) } {} là đa thức lượng giác vì

Xấp xỉ bằng toán tử tích phân

Định lý Weierstrass trong không gian Bannach

Cách xây dựng nhân

Định lý Korovkin

Định lý Korovkin sẽ cung cấp cho chúng ta một cách tiếp cận khác để đi đến các Định lý Weierstrass. Định lý Korovkin khẳng định rằng: Đối với một dãy các toán tử tuyến tính xác định dương {Un} size 12{ lbrace U rSub { size 8{n} } rbrace } {} ( Un size 12{U rSub { size 8{n} } } {} ¸nh x¹ C(A) size 12{C \( A \) } {} vào chính nó), sự hội tụ PUn(f)fPC(A)0,fC(A) size 12{PU rSub { size 8{n} } \( f \) - fP rSub { size 8{C \( A \) } } rightarrow "0," forall f in C \( A \) } {}có thể được suy ra từ sự hội tụ này đối với một dãy hữu hạn các hàm thử

{gn}n=1mC(A), size 12{ lbrace g rSub { size 8{n} } rbrace rSub { size 8{n"=1"} } rSup { size 8{m} } subset C \( A \) ,} {} trong đó A size 12{A} {} là một không gian compact Hausdorff.

Cho f size 12{f} {} là một hàm xác định và liên tục trên A size 12{A} {}, ta viết f0 size 12{f >= 0} {} nếu f(x)0 size 12{f \( x \) >= 0} {} với mọi xA size 12{x in A} {}. Khi đó ký hiệu fg size 12{f >= g} {} được hiểu là fg0, size 12{f - g >= "0,"} {} và hàm f size 12{ \lline f \lline } {} được hiểu là f(x)=f(x),xA. size 12{ \lline f \lline \( x \) = \lline f \( x \) \lline ,x in A "." } {}

Một toán tử U size 12{U} {} ánh xạ C(A) size 12{C \( A \) } {} vào chính nó được gọi là toán tử xác định dương nếu U(f)U(g) size 12{U \( f \) >= U \( g \) } {} với mọi fg. size 12{f >= g "." } {} Một toán tử tuyến tính xác định dương thì bị chặn, PUP=PU(1)P size 12{PUP=PU \( 1 \) P} {}.

Định lý 3.1 Giả sử rằng tồn tại một dãy các hàm thực liên tục { a i } i =1 m size 12{ lbrace a rSub { size 8{i} } rbrace rSub { size 8{i"=1"} } rSup { size 8{m} } } {} xác định trên A size 12{A} {} sao cho

(i)

mai(y)gi(x)0,x,yA. cSub { size 8{m} } a rSub { size 8{i} } \( y \) g rSub { size 8{i} } \( x \) >= "0,"~ forall `x,y in A "." } {} (1.13)

(ii)

Py(x)=0 nếu và chỉ nếu x=y . size 12{P rSub { size 8{y} } \( x \) "=0"`" nếu và chỉ nếu x=y " "." } {} (1.14)

Khi đó với mỗi dãy toán tử tuyến tính xác định dương {Un} size 12{ lbrace U rSub { size 8{n} } rbrace } {} trên C(A) size 12{C \( A \) } {}, sự hội tụ

Un(gi)gi,ni=1,...,m size 12{U rSub { size 8{n} } \( g rSub { size 8{i} } \) rightarrow g rSub { size 8{i} } ,~n rightarrow infinity ~i"=1," "." "." "." ,m} {} (1.15)

kéo theo

Un(f)f,n,fC(A). size 12{U rSub { size 8{n} } \( f \) rightarrow f,~n rightarrow infinity ,~ forall `f in C \( A \) "." } {} (1.16)

Proof. Xét hàm số naigi(x) rSub { size 8{n} } a rSub { size 8{i} } g rSub { size 8{i} } \( x \) } {}. Lấy hai điểm cố định y1,y2A size 12{y rSub { size 8{1} } ,y rSub { size 8{2} } in A} {} sao cho y1=y2 size 12{y rSub { size 8{1} } { { {}=}}y rSub { size 8{2} } } {}. Đặt

P := P y 1 + P y 2 . size 12{P rSup { size 8{*} } ":="P rSub { size 8{y rSub {1} } } +P rSub { size 8{y rSub {2} } } "." } {}

Do (3.13) và (3.14) nên P(x)>0,xA size 12{P rSup { size 8{*} } \( x \) ">0,"x in A} {}. Nếu tất cả các hàm hệ số ai,i=1,...,m, size 12{a rSub { size 8{i} } ,i"=1," "." "." "." ,m,} {} là hàm hằng, thì do (3.15), Un(P,x) size 12{U rSub { size 8{n} } \( P,x \) } {} hội tụ đều theo x size 12{x} {} đến P(x) size 12{P \( x \) } {}. Nếu x=y size 12{x=y} {}, thì do (3.14), (3.15) và các hàm ai size 12{a rSub { size 8{i} } } {} bị chặn, i=1,...,n size 12{i"=1," "." "." "." ,n} {}, ta suy ra

m a i ( y ) g i ( y ) =0, đều theo y . cSub { size 8{m} } a rSub { size 8{i} } \( y \) g rSub { size 8{i} } \( y \) "=0,""đều theo y" "." } {}

Chọn số a>0 size 12{a">0"} {} sao cho 1=e0(x)aP(x),xA. size 12{"1="e rSub { size 8{0} } \( x \) „ ital "aP" rSup { size 8{*} } \( x \) ,x in A "." } {} Khi đó

U n ( e 0 , x ) aU n ( P , x ) aP ( x ) , n . size 12{U rSub { size 8{n} } \( e rSub { size 8{0} } ,x \) „ ital "aU" rSub { size 8{n} } \( P rSup { size 8{*} } ,x \) rightarrow ital "aP" rSup { size 8{*} } \( x \) ,~n rightarrow infinity "." } {}

Vì vậy tồn tại một số M0>0 size 12{M rSub { size 8{0} } ">0"} {} sao cho

PU n ( e 0 ) P M 0 . size 12{PU rSub { size 8{n} } \( e rSub { size 8{0} } \) P„M rSub { size 8{0} } "." } {}

Ta cần đến kết quả sau: Cho fyC(A),yA size 12{f rSub { size 8{y} } in C \( A \) ,y in A} {} là một họ các hàm sao cho fy(x) size 12{f rSub { size 8{y} } \( x \) } {} là hàm liên tục theo (x,y)A×A size 12{ \( x,y \) in A times A} {}fy(y)=0,yA. size 12{f rSub { size 8{y} } \( y \) "=0," forall y` in A "." } {} Khi đó

Un(fy,y)0,đều theo y khi n. size 12{U rSub { size 8{n} } \( f rSub { size 8{y} } ,y \) rightarrow "0,"~"đều theo y khi n" rightarrow infinity "." } {} (1.17)

Để chứng minh (3.17), xét ε>0 size 12{ε">0"} {} và tập đường chéo của A×A size 12{A times A} {}, B:={(y,y):yA} size 12{B":=" lbrace \( y,y \) :y in A rbrace } {}. Mỗi một điểm (a,a) size 12{ \( a,a \) } {} của B size 12{B} {} có một lân cận Va size 12{V rSub { size 8{a} } } {} trong A×A size 12{A times A} {} sao cho fy(x)<ε, size 12{ \lline f rSub { size 8{y} } \( x \) \lline <ε,} {} với mọi (x,y)Va size 12{ \( x,y \) in V rSub { size 8{a} } } {}. Gọi G=aAVa size 12{G= { size 24{ union }} cSub { size 8{a in A} } size 12{V rSub { size 8{a} } }} {}, vì G size 12{G} {} là một tập mở, nên phần bù F size 12{F} {} của là tập đóng, do đó F size 12{F} {} là tập compact (vì A size 12{A} {} compact ). Ta xác định các số m,M size 12{m,M} {} bởi

m := min ( x , y ) F P y ( x ) >0; M := max ( x , y ) F f y ( x ) . size 12{m":=" {"min"} cSub { size 8{ \( x,y \) in F} } P rSub { size 8{y} } \( x \) ">0;"~M":=" {"max"} cSub { size 8{ \( x,y \) in F} } \lline f rSub { size 8{y} } \( x \) \lline "." } {}

Nếu (x,y)G size 12{ \( x,y \) in G} {}, thì fy(x)<ε size 12{ \lline f rSub { size 8{y} } \( x \) \lline <ε} {}. Nếu (x,y)G size 12{ \( x,y \) in G} {}, thì fy(x)MmPy(x) size 12{ \lline f rSub { size 8{y} } \( x \) \lline „ { {M} over {m} } P rSub { size 8{y} } \( x \) } {}. Vì vậy

fy(x)ε+MmPy(x) size 12{ \lline f rSub { size 8{y} } \( x \) \lline „ε+ { {M} over {m} } P rSub { size 8{y} } \( x \) } {} (1.18)

Từ (3.18) ta có

2 U n ( f y , y ) εU n ( e 0 , y ) + M m U n ( P y , y ) size 12{2 \lline U rSub { size 8{n} } \( f rSub { size 8{y} } ,y \) \lline „εU rSub { size 8{n} } \( e rSub { size 8{0} } ,y \) + { {M} over {m} } U rSub { size 8{n} } \( P rSub { size 8{y} } ,y \) } {}

M 0 ε + M m U n ( P y , y ) ( M 0 + 1 ) ε , với n đủ lớn . size 12{„M rSub { size 8{0} } ε+ { {M} over {m} } U rSub { size 8{n} } \( P rSub { size 8{y} } ,y \) „ \( M rSub { size 8{0} } +1 \) ε,~"với n đủ lớn" "." } {}

Từ đây suy ra (3.17).

Bây giờ ta có thể hoàn thành việc chứng minh định lý. Với mỗi fC(A) size 12{f in C \( A \) } {}, đặt

f y ( x ) := f ( x ) f ( y ) P ( y ) P ( x ) . size 12{f rSub { size 8{y} } \( x \) ":="f \( x \) - { {f \( y \) } over {P rSup { size 8{*} } \( y \) } } P rSup { size 8{*} } \( x \) "." } {}

Chúng ta vừa mới chỉ ra Un(f,y)f(y)P(y)Un(P,y) size 12{U rSub { size 8{n} } \( f,y \) - { {f \( y \) } over {P rSup { size 8{*} } \( y \) } } U rSub { size 8{n} } \( P rSup { size 8{*} } ,y \) } {} hội tụ đều về không theo y size 12{y} {} khi n size 12{n rightarrow infinity } {} và vì Un(P,y) size 12{U rSub { size 8{n} } \( P rSup { size 8{*} } ,y \) } {} hội tụ đều đến P(y) size 12{P rSup { size 8{*} } \( y \) } {}, nên ta thu được (3.16).

Nhận xét 3.2 Sử dụng Định lý Korovkin với các hàm thử g 1 =1, g 2 = x , g 3 = x 2 size 12{g rSub { size 8{1} } "=1,"g rSub { size 8{2} } =x,g rSub { size 8{3} } =x rSup { size 8{2} } } {} trên [ 0,1 ] size 12{ \[ "0,1" \] } {}

P y ( x ) = ( y x ) 2 = y 2 g 1 2 yg 2 + g 3 , U n = B n , size 12{P rSub { size 8{y} } \( x \) = \( y - x \) rSup { size 8{2} } =y rSup { size 8{2} } g rSub { size 8{1} } - 2 ital "yg" rSub { size 8{2} } +g rSub { size 8{3} } ,~U rSub { size 8{n} } =B rSub { size 8{n} } ,} {}

trong đó Bn size 12{B rSub { size 8{n} } } {} là toán tử Bernstein, ta suy ra Hệ quả 1.2.4.

Tương tự , trên T size 12{T} {}, ta có thể xét g1=x,g2=cosx,g3=sinx, size 12{g rSub { size 8{1} } =x,g rSub { size 8{2} } ="cos"x,g rSub { size 8{3} } ="sin"x,} {}Py(x)=1cos(yx) size 12{P rSub { size 8{y} } \( x \) "=1" - "cos" \( y - x \) } {}, Un=σn size 12{U rSub { size 8{n} } =σ rSub { size 8{n} } } {}, áp dụng định lý Korovkin ta suy ra Hệ quả 1.2.3.

Bài tập

Bài tập 1 Giả thiết Định lý Weierstrass cho hàm tuần hoàn là đã chứng minh, hãy chứng minh σ n ( f , x ) size 12{σ rSub { size 8{n} } \( f,x \) } {} hội tụ đều đến f ( x ) size 12{f \( x \) } {} khi n . size 12{n rightarrow infinity "." } {}

Bài tập 2 Cho { Q n } n =1 size 12{ lbrace Q rSub { size 8{n} } rbrace rSub { size 8{n"=1"} } rSup { size 8{ infinity } } } {} là đa thức đại số, Q n size 12{Q rSub { size 8{n} } } {} có bậc m n size 12{m rSub { size 8{n} } } {} , Q n ( x ) size 12{Q rSub { size 8{n} } \( x \) } {} hội tụ đều đến f ( x ) size 12{f \( x \) } {} khi n , size 12{n rightarrow infinity ,} {} x [ a , b ] size 12{x in \[ a,b \] } {} . Chứng minh rằng nếu f size 12{f} {} không phải đa thức thì m n size 12{m rSub { size 8{n} } rightarrow infinity } {} , khi n size 12{n rightarrow infinity } {} .